567. Zinc Plating on Copper Proceeds via Breakdown of a Capacitive Electric Double Layer. H. Sun, S. Ding, J. Zhang, Y. Chen, X. Wu, Z. Zhang, T. Zhou, Z. Yan, K. Zhang, Q. Zhao, W. Xie, K. Yang, G. Feng, E. Nakamura, J. Chen, W. Zhang, J. Am. Chem. Soc. ASAP.
566. Stochastic Interface Formation in Nanoscale Heterostructures Visualized by Atomic-Resolution Microscopy. H. Miyuki, M. Sakakibara, R. Ishikawa, N. Shibata, T. Nakamuro, E. Nakamura, J. Am. Chem. Soc. ASAP.
565. Rapid, low-temperature nanodiamond formation by electron-beam activation of adamantane C–H bonds. J. Fu, T. Nakamuro, E. Nakamura, Science, 389, 1024, (2025).

564. Bottom-up design of peptide nanoshapes in water using oligomers of N-methyl-L/D-alanine. J. Morimoto, Y. Shiratori, M. Yokomine, T. Ueda, T. Nakamuro, K. Takaba, S. Maki-Yonekura, K. Umezawa, K. Miyanishi, Y. Fukuda, T. Watanabe, W. Mizukami, K. Takeuchi, K. Yonekura, E. Nakamura, S. Sando, Chem. Sci. Accepted Manuscript (ChemRxiv).

563.Atomic-resolution imaging as a mechanistic tool for studying single-site heterogeneous catalysis. Y. Kratish, Y. Liu, J. Li, A. Das, L. O. Jones, A. Agarwal, Q. Ma, M. J. Bedzyk, G. C. Schatz, T. Nakamuro, E. Nakamura, T. J. Marks, Chem, 11, 102541 (2025) (ChemRxiv.).

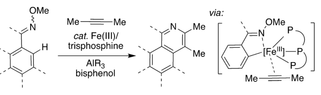
562. Iron-Catalyzed C–H Activation/Aza-Annulation with 2-Butyne for Accessing Methylated Aza-Arenes, Y. Zhang, R. Shang, E. Nakamura, Helv. Chim. Acta, 108, e202400200 (2025). (dedicated to Prof. Erick Carreira, President of the 57th Bürgenstock-Conference 2025)

561. Tungsten-dioxo single-site heterogeneous catalyst on carbon: synthesis, structure, and catalysis, A. Agarwal, Y. Liu, M. Hanazawa, J. Li, T. Nakamuro, E. Nakamura, Y. Kratish, T. J. Marks, Catal. Sci. Technol., 15, (2025) 1272.

560. Non-deterministic Dynamics in η-to-θ Phase Transition of Alumina Nanoparticles. M. Sakakibara, M. Hanaya, T. Nakamuro, E. Nakamura, Science 387 522-527 (2025). (ChemRxiv).

559. Deep-red Emitting Copper(I) Indenediyltrisphosphine Complexes with Minimized Skeletal Vibrations and Configurational Disorder, S. Fukuma, J. Fu, T. Nakamuro, R. Shang, E. Nakamura, Angew. Chem. Int. Ed. 63, e202416583 (2025).

558. Doubly spiro-conjugated chiral carbocycles exhibiting SOMO-HOMO inversion in persistent radical cations. T. Sakamaki, Y. Zhang, S. Fukuma, C. M. Cruz, A. Cardenas, A. G. Campana, J. Casado, R. Shang, E. Nakamura, J. Am. Chem. Soc. 146, 12712–12722 (2024).
557. Iron-catalysed C(sp²)–H activation for aza-annulation with alkynes on extended π-conjugated systems. Y. Zhang, S. Fukuma, R. Shang, E. Nakamura, Nat. Synth. 3, 1349–1359 (2024). (highlighted in Nature Synthesis News & Views by Prof. Gábor London )
556. Iron-Catalyzed 5-Endo-Dig Synthetic Approach to Indenes and Its Bidirectional Extension to Narrow Bandgap π-Systems. M. Chen, Y. Itabashi, S. Fukuma, R. Shang, E. Nakamura, ACS Catal. 14, 1375–1383 (2024).
555. Twofold Alkenylation of Thiophenes with N-Vinylcarbazole via Iron-Catalyzed Regioselective C-H/C-H Coupling. T. Doba, R. Shang, E. Nakamura, Helv. Chim. Acta, 107, e202300210 (2024). (Article Dedicated to Prof. Alois Fürstner, President of the 56th Bürgenstock-Conference 2023)
554. Kinetic Exploration of Nanoscale Polymorphs through Interface Energy Adjustment. M. Sakakibara, T. Nakamuro, E. Nakamura, ACS Nano 18, 222325-22333 (2024) (ChemRxiv.).
553. Melting entropy of crystals determined by electron-beam-induced configurational disordering. D. Liu, O. Elishav, J. Fu, M. Sakakibara, K. Yamanouchi, B. Hirshberg, T. Nakamuro, E. Nakamura, Science 384, 1212-1219 (2024) (arXiv). (Highlighted in following websites: Tii技術情報,日本経済新聞, Infoseek, Mapion, Tech+)
552. Molybdenum-Catalyzed Directed Activation of Aryl Chlorides and Fluorides, S. Banerjee, N. Matsushita, E. Nakamura, N. R. Patil, S. Asako, L. Ilies, Synlett. 35, 1141-1144 (2024).
551. Time-resolved imaging and analysis of the electron beam-induced formation of an open-cage metalloazafullerene, H. Hoelzel, S. Lee, K. Y. Amsharov, N. Jux, K. Harano, E. Nakamura, D. Lungerich, Nature Chem 15, 1444-1451 (2023).
550. Wavy Graphene-Like Network Forming during Pyrolysis of Polyacrylonitrile into Carbon Fiber, T. Ishikawa, F. Tanaka, K. Kurushima, A. Yasuhara, R. Sagawa, T. Fujita, R. Yonesaki, K. Iseki, T. Nakamuro, K. Harano, E. Nakamura, J. Am. Chem. Soc. 145, 12244-12254 (2023).
549. Cinematographic recording of metastable floating island in 2-D and 3-D crystal growth, M. Sakakibara, H. Nada, T. Nakamuro, E. Nakamura, ACS Cent. Sci. 8, 1704-1710 (2022).
548. Versatile Synthesis of Trisphosphines Bearing Phenylene and Vinylene Backbones Useful for Metal Catalysis and Materials Applications, T. Doba, S. Fukuma, R. Shang, E. Nakamura, Synthesis, 1690–1699 (2023).
547. Atomically Precise Incorporation of BN-Doped Rubicene into Graphene Nanoribbons, R. Pawlak, K. N. Anindya, T. Shimizu, J.-C.Liu, T. Sakamaki, R. Shang, A. Rochefort, E. Nakamura, E. Meyer, J. Phys. Chem. C, 126, 19726–19732 (2022).
546. Iron-catalyzed C–H Activation for Heterocoupling and Copolymerization of Thiophenes with Enamines, T. Doba, R. Shang, E. Nakamura, J. Am. Chem. Soc.,144, 6823–6828 (2022).
545. Precision synthesis and atomistic analysis of deep blue cubic quantum dots made via self-organization. O. J. G. L. Chevalier, T. Nakamuro, W. Sato, S. Miyashita, T. Chiba, J. Kido, R. Shang, E. Nakamura, J. Am. Chem. Soc., 144, 21146-21156 (2022). (ChemRxiv, 10.26434/chemrxiv-2022-3dl97) Press release (JP, EN)
544. Excited state modulation of C70 dimerization in a carbon nanotube under a variable electron acceleration voltage. D. Liu, D. Lungerich, T. Nakamuro, K. Harano, E. Nakamura, Micron 160, 103316 (2022).
543. Time-resolved Atomistic Imaging and Statistical Analysis of Daptomycin Oligomers with and without Calcium Ion. T. Nakamuro, K. Kamei, K. Sun, J. W. Bode, K. Harano, E. Nakamura, J. Am. Chem. Soc., 144, 13612-13622 (2022) (ChemRxiv, 10.26434/chemrxiv-2022-xdkxs). Press release(University of the Tokyo)
542. Triarylamine/Bithiophene Copolymer with Enhanced Quinoidal Character as Hole-Transporting Material for Perovskite Solar Cells. H.-S. Lin, T. Doba, W. Sato, Y. Matsuo, R. Shang, E. Nakamura, Angew. Chem. Int. Ed. e202203949 (2022). Highlighted in ChemistryViews.org. Selected as a Hot paper.
541. Time-resolved Imaging of Stochastic Cascade Reactions over a Submillisecond to Second Time Range at the Angstrom Level. T. Shimizu, D. Lungerich, K. Harano, E. Nakamura, J. Am. Chem. Soc., 144, 9797-9805 (2022), (arXiv, arXiv:2202.13332).
540. Ionization and electron excitation of C60 in a carbon nanotube: A variable temperature/voltage transmission electron microscopic study, D. Liu, S. Kowashi, T. Nakamuro, D. Lungerich, K. Yamanouchi, K. Harano, E. Nakamura, Proc. Natl. Acad. Sci. USA., 119, e2200290119 (2022) (arXiv, arXiv:2110.02530).
539. Atomic-Number (Z)-Correlated Atomic Sizes for Deciphering Electron Microscopic Molecular Images, J. Xing, K. Takeuchi, K. Kamei, T. Nakamuro, K. Harano, E. Nakamura, Proc. Natl. Acad. Sci. USA., 119, e2114432119 (2022), arXiv, arXiv:2107.01490. Press release (The University of Tokyo JP EN)
538. De Novo Synthesis of Free-Standing Flexible 2D Intercalated Nanofilm Uniform over Tens of cm2, P. Ravat, H. Uchida, R. Sekine, K. Kamei, A. Yamamoto, O. Konovalov, M. Tanaka, T. Yamada, K. Harano, E. Nakamura, Adv. Mater. 2146465 (2021).
537. Iron-Catalysed Regioselective Thienyl C–H/C–H Coupling, T. Doba, L. Ilies, W. Sato, R. Shang, E. Nakamura, Nat. Catal., 4, 631–638 (2021).
536. B2N2-Doped Dibenzo[a,m]rubicene: Modular Synthesis, Properties, and Coordination-Induced Color Tunability, T. Sakamaki, T. Nakamuro, K. Yamashita, K. Hirata, R. Shang, E. Nakamura, Chem. Mater., 33, 5337–5344 (2021).(https://pubs.acs.org/articlesonrequest/AOR-QGVWUAPAHDESVIU9CJY3)
535. A Singular Molecule-to-Molecule Transformation on Video: The Bottom-Up Synthesis of Fullerene C60 from Truxene Derivative C60H30, D. Lungerich, H. Hoelzel, K. Harano, N. Jux, K. Y. Amsharov, E. Nakamura, ACS Nano, 15, 12804–12814 (2021). (Selected as Supplementary Cover). Press release (The University of Tokyo JP)
534. Iron-Catalyzed Tandem Cyclization of Diarylacetylene to a Strained 1,4-Dihydropentalene Framework for Narrow-Band-Gap Materials, M. Chen, W. Sato, R. Shang, E. Nakamura, J. Am. Chem. Soc., 143, 6823–6828 (2021).
533. Rational Electrolyte Design to Form Inorganic–Polymeric Interphase on Silicon-Based Anodes, S. Yang, Y. Zhang, Z. Li, N. Takenaka, Y. Liu, H. Zou, W. Chen, M.Du, X.-J. Hong, R. Shang, E. Nakamura, Y.-P. Cai, Y.-Q. Lan, Q. Zheng, Y. Yamada, A. Yamda, ACS Energy Lett., 6, 1811–1820 (2021).
532. Rim Binding of Cyclodextrins in Size-Sensitive Guest Recognition, H. Hanayama, J. Yamada, I. Tomotsuka, K. Harano, E. Nakamura, J. Am. Chem. Soc., 143, 5786–5792 (2021).
531. Alternating Heterochiral Supramolecular Copolymerization, M. Ueda, T. Aoki, T. Akiyama, T. Nakamuro, K. Yamashita, H. Yanagisawa, O. Nureki, M. Kikkawa, E. Nakamura, T. Aida, Y. Itoh, J. Am. Chem. Soc., 143, 5121-5126 (2021).
530. Nano- and Microspheres Containing Inorganic and Biological Nanoparticles: Self-Assembly and Electron Tomographic Analysis, R. Sekine, P. Ravat, H. Yanagisawa, C. Liu, M. Kikkawa, K. Harano, E. Nakamura, J. Am. Chem. Soc.,143, 2822–2828 (2021).
529. Non-Aufbau Spiro-Conjugated Quinoidal & Aromatic Charged Radicals, S. M. Rivero, R. Shang, H. Hamada, Q. Yan, H. Tsuji, E. Nakamura, J. Casado, Bull. Chem. Soc. Jpn., 94,989–996 (2021).
528. Capturing the Moment of Emergence of Crystal Nucleus from Disorder, T. Nakamuro, M. Sakakibara, H. Nada, K. Harano, E. Nakamura, J. Am. Chem. Soc., 143, 1763-1767 (2021). (Highlighted in JACS Spotlights, J. Am. Chem. Soc., 143, 1681–1682 (2021)) OPEN ACCESS, One of the Most Read Articles in JACS, January 2021. (Highlighted in Nature Reviews Chemistry, Nat. Rev. Chem., (2021)) (Highlighted in Chemistry Today, Chemistry Today, 4, 10-11 (2021)). See a video for school education about the growth of a NaCl crystal (JPN, EN)
Press release(University of the Tokyo JP, EN, AIST, JST), Highlighted in following websites (NHK NEWS-web, NHK world, NIKKEI, nanowerk, EurekAlert!, SCIENMAG, OPTRONICS ONLINE, MIRAGE, PHYS. ORG. , My navi NEWS, MapionNews, NiconicoNEWS, AlphaGalileo, research-er.jp , 365NEWSX, BIGLOBE NEWS, Rakuten Infoseek NEWS, science alert, NEWS BREAK, GNP, blognewslink, UNFOLD TIMES, The News Point, KNOWLEDIA, GEEK TECH ONLINE, 資訊, dialog, India Education diary, Heaven32, THE NATIONAL TRIBUNE, TODAY TOP STORIES, Allmeblog, MOKEY VIRAL, AZO NANO, Tiisys, goo NEWS, JPubb, Science Spies, x-mol, Science Daily, Citizen Side, Universoracionalista, Gigazine, Gigazine-EN, pknews10, livedoorNEWS, au headlines, India right now news, TERRA RARA, i.jandan, B to B-ch., Academic gates, NEWSSALT, newsbeezer, DagoldInfo, The DAILYPOST, portail, nazology.net, future-sciences, andra, ADVANCED SCIENCE NEWS, ab-news, qubit, sott, N+1, aljazeera.net, palweather, epinesis, mp.weixin.qq, univ-journal, Tildes, Akihabara, reddit, QNewsHub, Newsfeeds, Brisbane, what’s best forum, Head Topics, curiosmos, tekniikkatalous.fi, Science Portal, Tech+, Yahoo! Japan, The nikkei, case 報科學)
527. SHROOM3, The Gene Associated with Chronic Kidney Diseases, Affects The Podocyte Structure, R. Matsuura, A. Hiraishi, L. Holzman, H. Hanayama, K. Harano, E. Nakamura, Y. Hamasaki, K. Doi, M. Nangaku, E. Noiri, Sci. Rep., 10, 21103 (2020).
526. Blue and deep-blue emitting organic lasers with top-layer distributed feedback resonators, V. Bonal, J. M. Villalvilla, J. A. Quintana, P. G. Boj, N. Lin, S. Watanabe, K. Kazlauskas, O. Adomeniene, S. Jursenas, H. Tsuji, E. Nakamura, M. A. Díaz-García, Adv. Opt. Mater., 8, 2001153 (2020).
525. Synthesis and Characterization of a Well-Defined Carbon Nanohorn-Supported Molybdenum Dioxo Catalyst by SMART-EM Imaging. Surface Structure at the Atomic Level, Y. Kratish, T. Nakamuro, Y. Liu, J. Li, I. Tomotsuka, K. Harano, E. Nakamura, T. Marks, Bull. Chem. Soc. Jpn., 94, 427-432 (2021). (BCSJ Award Article, open-access article)
524. Aryl Radical Addition to Curvatures of Carbon Nanohorns for Single-Molecule-Level Molecular Imaging, K. Kamei, T. Shimizu, K. Harano, E. Nakamura, Bull. Chem. Soc. Jpn., 93, 1603-1608 (2020).
523. B/N-Doped p-Arylenevinylene Chromophores: Synthesis, Properties, and Microcrystal Electron Crystallographic Study, H. Lu, T. Nakamuro, K. Yamashita, H. Yanagisawa, O. Nureki, M. Kikkawa, H. Gao, J. Tian, R. Shang, E. Nakamura, J. Am. Chem. Soc., 142, 18990–18996 (2020). (Highlighted in JACS Spotlights, J. Am. Chem. Soc., 142, 18733–18734 (2020))
522. Ultra-fast Electron Microscopic Imaging of Single Molecules with Direct Electron Detection Camera and Noise Reduction, J. Stuckner, T. Shimizu, K. Harano, E. Nakamura, M. Murayama, Microsc. Microanal., 26, 667–675 (2020).
521. Real-time Video Imaging of Mechanical Motions of a Single Molecular Shuttle with Sub-millisecond Sub-angstrom Precision, T. Shimizu, D. Lungerich, J. Stuckner, M. Murayama, K. Harano, E. Nakamura, Bull. Chem. Soc. Jpn.,93, 1079-1085 (2020). (BCSJ Award Article, open-access article) (Press Release: Japanese, English)
(Highlighted in following websites: Newsweek, Yahoo!News, MyNavi News, Science Portal, Wiley Analytical Science, SciTech Daily, Phys Org, EurekAlert!, Zephyrnet.com, Science Daily, nanowerk, MIRAGE, NEWS BREAK, NIKKEI press release, Tech Eye, OPTRONICS ONLINE, Zaikei Shimbun, COSMOS, GALILEU, FREE NEWS, explica, N+1, GUATE VISION, notimerica, Notizie scientifiche)
520. Spiro-conjugated Carbon/Heteroatom-bridged p-Phenylenevinylenes: Synthesis, Properties, and Microcrystal Electron Crystallographic Analysis of Racemic Solid Solutions, H. Hamada, T. Nakamuro, K. Yamashita, H. Yanagisawa, O. Nureki, M. Kikkawa, K. Harano, R. Shang, E. Nakamura, Bull. Chem. Soc. Jpn., 93, 776–782 (2020). (BCSJ Award Article, open-access article)
519. Kinetically Protected Carbon-bridged Oligo(p-phenylenevinylene) Derivatives for Blue Color Amplified Spontaneous Emission, V. Bonal, M. Morales-Vidal, P. G. Boj, J. M. Villalvilla, J. A. Quintana, N. Lin, S. Watanabe, H. Tsuji, E. Nakamura, M. A. Díaz-García, Bull. Chem. Soc. Jpn., 93, 751–758 (2020). (open-access article)
518. Cyclodextrins as Surfactants for Solubilization and Purification of Carbon Nanohorn Aggregates, H. Hanayama, J. Yamada, K. Harano, E. Nakamura, Chem Asian J., 15, 1549–1552 (2020).
517. A Cyclic Phosphate-based Battery Electrolyte for High-voltage and Safe Operation, Q. Zheng, Y. Yamada, R. Shang, S. Ko, Y.-Y. Lee, K. Kim, E. Nakamura, A. Yamada, Nat. Energy, 5, 291-298 (2020). (PDF) (Press Release)
(Highlighted in following websites: Smart Japan, kankyo-business.jp, yahoo JAPAN, nikkan, nikkei, Techplore, Rinnovabili.it)
516. Chromium(III)-catalyzed C(sp2)–H Alkynylation, Allylation, and Naphthalenation of Secondary Amides with Trimethylaluminum as Base, M. Chen, T. Doba, T. Sato, H. Razumkov, L. Ilies, R. Shang, E. Nakamura, J. Am. Chem. Soc., 142, 4883–4891 (2020).
515. Axially Chiral Spiro-conjugated Carbon-bridged p-Phenylenevinylene Congeners: Synthetic Design and Materials Properties, H. Hamada, Y. Itabashi, R. Shang, E. Nakamura, J. Am. Chem. Soc., 142, 2059–2067 (2020).
514. Bifurcation of Self-Assembly Pathways to Sheet or Cage Controlled by Kinetic Template Effect, L. H. Foianesi-Takeshige, S. Takahashi, T. Tateishi, R. Sekine, A. Okazawa, W. Zhu, T. Kojima, K. Harano, E. Nakamura, H. Sato, S. Hiraoka, Commun. Chem., 2, 128 (2019). (Press Release)
513. Atomistic Structures and Dynamics of Prenucleation Clusters in MOF-2 and MOF-5 Syntheses, J. Xing, L. Schweighauser, S. Okada, K. Harano, E. Nakamura, Nat. Commun., 10, 3608 (2019).
(Highlighted in following websites: Editor’s choice, Nanowerk, Phys. org, Science Daily, Lab Manager, Chem Europe, Labonline, infosurhoy, Weather herald, SCIENCECodex, EurekAlert!, AlphaGalileo, TECH EXPLORIST, JEOL English website, MyPortal, Tech Explorist, ZME Science, Reddit, Sohu, 163, Toutiao, Huanqiukexue, kknews Web, Materials and Testing Web, China Media Web, Instrument Information Web, Nanoer Web , GuruMeditation, JST, The Nikkei, Highlighted in JEOL Japan, Highlighted in Bionet, Highlighted in The Mainichi, Highlighted in Scientific American)
512. Organic/Inorganic Hybrid p-Type Semiconductor Doping Affords Hole-Transporting-Layer-Free Thin-film Perovskite Solar Cells with High Stability, Z. Zhou, Z. Qiang, T. Sakamaki, I. Takei, R. Shang, E. Nakamura, ACS Appl. Mater. Interfaces, 11, 22603-22611 (2019).
511. Homocoupling-free Iron-catalysed Twofold C–H Activation/Cross-couplings of Aromatics via Transient Connection of Reactants, T. Doba, T. Matsubara, L. Ilies, R. Shang, E. Nakamura, Nat. Catal. 2, 400-406 (2019). (Commentary by Prof. Eiichi Nakamura) (Highlighted in EurekAlert) (Highlighted in Alpha Galileo)
510. Preparation of Hierarchically Assembled Silver Nanostructures based on the Morphology of Crystalline Peptide‐Silver(I) Complexes, R. Miyake, Y. Nitanai, Y. Nakagawa, J. Xing, K. Harano, E. Nakamura, J. Okabayashi, T. Minamikawa, K. Uruma, K. Kanaizuka, M. Kurihara, ChemPlusChem, 84, 295–301 (2019). (Highlighted in ChemistryViews)
509. Carbon‐bridged Oligo(phenylenevinylene)s as Light‐harvesting Antenna for Porphyrins, H. Tsuji, A. Ichimura, M. Kudo, J. Sukegawa, E. Nakamura, Chem. Asian J., 14, 1672–1675 (2019)
508. Iron-Catalyzed Directed Alkylation of Carboxamides with Olefins via a Carbometalation Pathway, L. Ilies, Y. Zhou, H. Yang, T. Matsubara, R. Shang, E. Nakamura, ACS Catal., 8, 11478–11482 (2018).
507. 2,7-Dioctylbenzofuro[3,2-b]benzofuran: An Organic Semiconductor with Two-dimensional Transport Channels, D. Chen, J. Li, W. Ma, B. Li, Y. Zhen, X. Zhu, W. Hu, H. Tsuji, E. Nakamura, Asian J. Org. Chem., 7, 2228-2232 (2018).
506. Synthesis of Esomeprazole and Related Proton Pump Inhibitors through Iron-Catalyzed Enantioselective Sulfoxidation, S. Nishiguchi, T. Izumi, T. Kouno, J. Sukegawa, L. Ilies, E. Nakamura, ACS Catal., 8, 9738–9743 (2018).
505. Neutron Scattering Reveals Water Confined in a Watertight Bilayer Vesicle, W. Abuillan, A. S. Becker, B. Demé, T. Homma, H. Isobe, K. Harano, E. Nakamura, M. Tanaka, J. Am. Chem. Soc., 140, 11261–11266 (2018).
504. π-Electronic Cocrystal Microcavities with Selective Vibronic-Mode Light Amplification: Toward FRET Lasing, D. Okada, S. Azzini, H. Nishioka, A. Ichimura, H. Tsuji, E. Nakamura, F. Sasaki, C. Genet, T. W. Ebbesen, Y. Yamamoto, Nano Lett., 18, 4396–4402 (2018).
503. Coherent Resonant Electron Tunneling at 9 and 300 K through a 4.5 nm Long, Rigid, Planar Organic Molecular Wire, C. Ouyang, K. Hashimoto, H. Tsuji, E. Nakamura, Y. Majima, ACS Omega, 3, 5125-5130 (2018).
502. Hierarchical Assembly of siRNA with Tetraamino Fullerene in Physiological Conditions for Efficient Internalization into Cells and Knockdown, K. Minami, K. Okamoto, K. Harano, E. Noiri, E. Nakamura, ACS Appl. Mater. Interfaces, 10, 19347–19354 (2018).
501. Silylation of Aryl Halides with Monoorganosilanes Activated by Lithium Alkoxide, T. Yoshida, L. Ilies, E. Nakamura, Org. Lett., 20, 2844-2847 (2018).
500. Iron-Catalyzed Synthesis of Indenones through Cyclization of Carboxamides with Alkynes, L. Ilies, Y. Arslanoglu, T. Matsubara, E. Nakamura, Asian J. Org. Chem., 7, 1327-1329 (2018).
499. Carbon‐Bridged p‐Phenylenevinylene Polymer for High‐Performance Solution‐Processed Distributed Feedback Lasers, M. Morales-Vidal, J. A. Quintana, J. M. Villavilla, P. G. Boj, H. Nishioka, H. Tsuji, E. Nakamura, G. L. Whitworth, G. A. Turnbull, I. D. W. Samuel, M. A. Díaz-García, Adv. Opt. Mater., 6, 1800069 (2018).
498. Disodium Benzodipyrrole Sulfonate as Neutral Hole-Transporting Materials for Perovskite Solar Cells, R. Shang, Z. Zhou, H. Nishioka, H. Halim, S. Furukawa, I. Takei, N. Ninomiya, E. Nakamura, J. Am. Chem. Soc., 140, 5018-5022 (2018).
497. Homo- and Copolymers Based on Carbon-Bridged Oligo(p-phenylenevinylene)s for Efficient Fluorescence over the Entire Visible Region, H. Nishioka, H. Tsuji, E. Nakamura, Macromolecules, 51, 2961-2968 (2018).
496. Flexibility of Components Alters the Self-assembly Pathway of Pd2L4 Coordination Cages, S. Kai, S. P. Maddala, T. Kojima, S. Akagi, K. Harano, E. Nakamura, S. Hiraoka, Dalton Trans., 47, 3258-3263 (2018). (Selected as Front cover)
495. Acid-Responsive Conductive Nanofiber of Tetrabenzoporphyrin Made by Solution Processing, Y. Zhen, K. Inoue, Z. Wang, T. Kusamoto, K. Nakabayashi, S. Ohkoshi, W. Hu, Y. Guo, K. Harano, E. Nakamura, J. Am. Chem. Soc., 140, 62-65 (2018). (Selected as Cover picture)
494. Aggregation-responsive ON–OFF–ON fluorescence-switching behaviour of twisted tetrakis(benzo[b]furyl)ethene made by hafnium-mediated McMurry coupling, H. Hamada, H. Tsuji, E. Nakamura, Mater. Chem. Front., 2, 296-299 (2018).
493. Iron-Catalyzed Remote Arylation of Aliphatic C-H Bond via 1,5-Hydrogen Shift, B. Zhou, H. Sato, L. Ilies, E. Nakamura, ACS Catal., 8, 8-11 (2018).
492. Direct Microscopic Analysis of Individual C60 Dimerization Events: Kinetics and Mechanisms, S. Okada, S. Kowashi, L. Schweighauser, K. Yamanouchi, K. Harano, E. Nakamura, J. Am. Chem. Soc., 139, 18281-18287 (2017).
491. Effects of Water on the Forward and Backward Conversions of Lead(II) Iodide to Methylammonium Lead Perovskite, K. Shoyama, W. Sato, Y. Guo, E. Nakamura, J. Mater. Chem. A, 5, 23815-23821 (2017).
490. Carbon-Bridged Phenylene-Vinylenes: On the Common Diradicaloid Origin of Their Photonic and Chemical Properties, R. C. González-Cano, S. Di Motta, X. Zhu, J. T. L. Navarrete, H. Tsuji, E. Nakamura, F. Negri, J. Casado, J. Phys. Chem. C, 121, 23141-23148 (2017).
489. Manganese-Catalyzed Directed Methylation of C(sp2)–H Bonds at 25 °C with High Catalytic Turnover, T. Sato, T. Yoshida, H. H. Al Mamari, L. Ilies, E. Nakamura, Org. Lett., 19, 5458-5461 (2017).
488. An Efficient and Color-Tunable Solution-Processed Organic Thin-Film Laser with a Polymeric Top-Layer Resonator, J. A. Quintana, J. M. Villalvilla, M. Morales-Vidal, P. G. Boj, X. Zhu, N. Ruangsupapichat, H. Tsuji, E. Nakamura, M. A. Díaz-García, Adv. Opt. Mater., 5, 1700238 (2017).
487. Experimental Study on Interconversion between Cubic MOF-5 and Square MOF-2 Arrays, L. Schweighauser, K. Harano, E. Nakamura, Inorg. Chem. Commun., 84, 1-4 (2017).
486. Citric Acid Modulated Growth of Oriented Lead Perovskite Crystals for Efficient Solar Cells, Y. Guo, W. Sato, K. Shoyama, H. Halim, Y. Itabashi, R. Shang, E. Nakamura, J. Am. Chem. Soc., 139, 9598-9604 (2017).
485. Conical Ionic Amphiphiles Endowed with Micellization Ability but Lacking Air- and Oil-Water Interfacial Activity, H. Nitta, K. Harano, M. Isomura, E. H. G. Backus, M. Bonn, E. Nakamura, J. Am. Chem. Soc., 139, 7677-7680 (2017).
484. Iron-catalyzed Borylation of Aryl Chlorides in the Presence of Potassium t-Butoxide, T. Yoshida, L. Ilies, E. Nakamura, ACS Catal., 7, 3199−3203 (2017).
483. Bis(aminoaryl) Carbon-Bridged Oligo(phenylenevinylene)s Expand the Limits of Electronic Couplings, P. M. Burrezo, N.-T. Lin, K. Nakabayashi, S. Ohkoshi, E. M. Calzado, P. G. Boj, M. A. D. Garcia, C. Franco, C. Rovira, J. Veciana, M. Moos, C. Lambert, J. T. L. Navarrete, H. Tsuji, E. Nakamura, J. Casado, Angew. Chem. Int. Ed., 56, 2898-2902 (2017).
482. Heterogeneous Catalase-like Activity of Gold(I)-Cobalt(III) Metallosupramolecular Ionic Crystals, M. Yamada, N. Yoshinari, N. Kuwamura, T. Saito, S. Okada, S. P. Maddala, K. Harano, E. Nakamura, K. Yamagami, K. Yamanaka, A. Sekiyama, T. Suenobu, Y. Yamada, T. Konno, Chem. Sci., 8, 2671-2676 (2017).
481. Indole Synthesis via Cyclative Formation of 2,3-Dizincioindoles and Regioselective Electrophilic Trapping, L. Ilies, M. Isomura, S. Yamauchi, T. Nakamura, E. Nakamura, J. Am. Chem. Soc., 139, 23-26 (2017).
480. Fullerene Cations-mediated Demethylation/Cyclization to 5- and 7-Membered Cyclo[60]fullerene Derivatives, Y. Matsuo, K. Ogumi, Y. Zhang, H. Okada, T. Nakagawa, H. Ueno, A. Gocho, E. Nakamura, J. Mater. Chem. A, 5, 2774-2783 (2017).
479. Iron/Zinc-Cocatalyzed Directed Arylation and Alkenylation of C(sp3)-H Bonds with Organoborates, L. Ilies, Y. Itabashi, R. Shang, E. Nakamura, ACS Catal., 7, 89-92 (2017).
478. N-Type Doping for Efficient Polymer Electron-Transporting Layers in Perovskite Solar Cells, Y. Guo, W. Sato, K. Inoue, W. Zhang, G. Yu, E. Nakamura, J. Mater. Chem. A, 4, 18852-18856 (2016).
477. Supramolecular Differentiation for Constructing Anisotropic Fullerene Nanostructures by Time-Programmed Control of Interfacial Growth, P. Bairi, K. Minami, J. P. Hill, W. Nakanishi, L. K. Shrestha, C. Liu, K. Harano, E. Nakamura, K. Ariga, ACS Nano, 10, 8796-8802 (2016).
476. Three-Dimensionally Homoconjugated Carbon-Bridged Oligophenylenevinylene for Perovskite Solar Cells, Q. Yan, Y. Guo, A. Ichimura, H. Tsuji, E. Nakamura, J. Am. Chem. Soc., 138, 10897-10904 (2016).
475. Iron-catalyzed ortho C-H Methylation of Aromatics Bearing a Simple Carbonyl Group with Methylaluminum and Tridentate Phosphine Ligand, R. Shang, L. Ilies, E. Nakamura, J. Am. Chem. Soc., 138, 10132-10135 (2016).
474. Nanoscale Control of Polymer Assembly on a Synthetic Catalyst-Bilayer System, R. M. Gorgoll, K. Harano, E. Nakamura, J. Am. Chem. Soc., 138, 9675-9681 (2016).
473. Local Time-Dependent Charging in a Perovskite Solar Cell, V. W. Bergmann, Y. Guo, H. Tanaka, I. M. Hermes, D. Li, A. Klasen, S. A. Bretschneider, E. Nakamura, R. Berger, S. A. L. Weber, ACS Appl. Mater. Interfaces, 8, 19402-19409 (2016).
472. Benzodipyrrole-Based Donor–Acceptor-Type Boron Complexes as Tunable Near-Infrared-Absorbing Materials, T. Nakamura, S. Furukawa, E. Nakamura, Chem. Asian J., 11, 2016-2020 (2016).
471. Sulfamic-Acid Catalyzed Lead Perovskite Formation for Solar Cell Fabrication on Glass or Plastic Substrate, Y. Guo, W. Sato, K. Shoyama, E. Nakamura, J. Am. Chem. Soc., 138, 5410-5416 (2016).
470. Polymer Stabilization of Lead(II) Perovskite Cubic Nanocrystals for Semitransparent Solar Cells, Y. Guo, K. Shoyama, W. Sato, E. Nakamura, Adv. Energy Mater., 6, 1502317 (2016).
469. Oxidative C-H Activation Approach to Pyridone and Isoquinolone via Iron-Catalyzed Coupling of Amide with Alkyne, T. Matsubara, L. Ilies, E. Nakamura, Chem. Asian J., 11, 380-384 (2016). (invited contribution to “Catalysis and Transformation of Complex Molecules” special issue)
468. Chemical Pathways Connecting Lead(II) Iodide and Perovskite via Polymeric Plumbate(II) Fiber, Y. Guo, K. Shoyama, W. Sato, Y. Matsuo, K. Inoue, K. Harano, C. Liu, H. Tanaka, E. Nakamura, J. Am. Chem. Soc., 137, 15907-15914 (2015).
467. Carbon-bridged oligo(p-phenylenevinylene)s for photostable and broadly tunable, solution-processable thin film organic lasers, M. Morales-Vidal, P. G. Boj, J. M. Villalvilla, J. A. Quintana, Q. Yan, N.-T. Lin, X. Zhu, N. Ruangsupapichat, J. Casado, H. Tsuji, E. Nakamura, M. A. Díaz-García, Nat. Commun., 6, 8458 (2015). pdf
466. Iron-Catalyzed Directed C(sp2)-H and C(sp3)-H Functionalization with Trimethylaluminum, R. Shang, L. Ilies, E. Nakamura, J. Am. Chem. Soc., 137, 7660-7663 (2015). (Chosen as Synfact of the Month)
465. Cooperative Self-Assembly of Gold Nanoparticles on the Hydrophobic Surface of Vesicles in Water, R. M. Gorgoll, T. Tsubota, K. Harano, E. Nakamura, J. Am. Chem. Soc., 137, 7568-7571 (2015).
464. Iron-Catalyzed Directed Alkylation of Alkenes and Arenes with Alkylzinc Halides, L. Ilies, S. Ichikawa, S. Asako, T. Matsubara, E. Nakamura, Adv. Synth. Catal., 357, 2175-2179 (2015). (Very Important Publication, invited contribution to the special issue dedicated to Stephen L. Buchwald)
463. Single-crystal Organic Field-effect Transistors of Naphthodifurans, C. Mitsui, J. Soeda, K. Miwa, K. Shoyama, Y. Ota, H. Tsuji, J. Takeya, E. Nakamura, Bull. Chem. Soc. Jpn., 88, 776-783 (2015). (BCSJ Award Article, Selected as Cover Picture, Open-Access)
462. Planarization, Fusion, and Strain of Carbon-Bridged Phenylenevinylene Oligomers Enhance π-Electron and Charge Conjugation: A Dissectional Vibrational Raman Study, P. M. Burrezo, X. Zhu, S.-F. Zhu, Q. Yan, J. T. L. Navarrete, H. Tsuji, E. Nakamura, J. Casado, J. Am. Chem. Soc., 137, 3834-3843 (2015).
461. Electron Microscopic Observation of Selective Excitation of Conformational Change of a Single Organic Molecule, R. M. Gorgoll, E. Yücelen, A. Kumamoto, N. Shibata, K. Harano, E. Nakamura, J. Am. Chem. Soc., 137, 3474-3477 (2015).
460. Organic Solid Solution Composed of Two Structurally Similar Porphyrins for Organic Solar Cells, Y. Zhen, H. Tanaka, K. Harano, S. Okada, Y. Matsuo, E. Nakamura, J. Am. Chem. Soc., 137, 2247-2252 (2015).
459. Air-Stable and Solution-Processable Perovskite Photodetectors for Solar-Blind UV and Visible Light, Y. Guo, C. Liu, H. Tanaka, E. Nakamura, J. Phys. Chem. Lett., 6, 535-539 (2015).
458. DNA Binding of Pentaamino[60]fullerene Synthesized using Click Chemistry, H. Niita, K. Minami, K. Harano, E. Nakamura, Chem. Lett., 44, 378-380 (2015). (Selected as Editor’s Choice, open-access article)
457. High-Density Display of Protein Ligands on Self-Assembled Capsules via Noncovalent Fluorous Interactions, K. Harano, J. Yamada, S. Mizuno, E. Nakamura, Chem. Asian J., 10, 172-176 (2015).
456. Fabrication of NIR-Excitable SERS-Active Composite Particles Comprised of Densely-Packed Au Nanoparticles on Polymer Microparticles, M. Kanahara, H. Satoh, T. Higuchi, A. Takahara, H. Jinnai, K. Harano, S. Okada, E. Nakamura, Y. Matsuo, H. Yabu, Part. Part. Syst. Charact., 32, 441-447 (2015).
455. Hexaaryl-Benzodipyrroles: Properties and Application as Amorphous Carrier-Transporting Materials, H. Tsuji, Y. Yokoi, S. Furukawa, E. Nakamura, Heterocycles, 90, 261-270 (2015).
454. Ferromagnetic Ordering in Superatomic Solids, C.-H. Lee, L. Liu, C. Bejger, A. Turkiewicz, T. Goko, C. J. Arguello, B. A. Frandsen, S. C Cheung, T. Medina, T. J. S. Munsie, R. D’Ortenzio, G. M. Luke, T. Besara, R. A. Lalancette, T. Siegrist, P. W. Stephens, A. C. Crowther, L. E. Brus, Y. Matsuo, E. Nakamura, Y. J. Uemura, P. Kim, C. Nuckolls, M. L. Steigerwald, X. Roy, J. Am. Chem. Soc., 136, 16926-16931 (2014).
453. Iron-catalyzed C(sp2)–H Bond Functionalization with Organoboron Compounds, R. Shang, L. Ilies, S. Asako, and E. Nakamura, J. Am. Chem. Soc., 136, 14349-14352 (2014).
452. Hydrogen/deuterium isotope effect of the host material on the lifetime of organic light-emitting diodes, H. Tsuji, C. Mitsui, E. Nakamura, Chem. Commun., 50, 14870–14872 (2014).
451. Electron transfer through rigid organic molecular wires enhanced by electronic and electron–vibration coupling, J. Sukegawa, C. Schubert, X. Zhu, H. Tsuji, D. M. Guldi, E. Nakamura, Nat. Chem., 6, 899–905 (2014). (Highlighted in Nature Chemistry News & Views, Nat. Chem., 6, 854–855 (2014).)
450. Near-infrared absorbing heterocyclic quinoid donors for organic solar cell devices, E. Ay, S. Furukawa, E. Nakamura, Org. Chem. Front., 1, 988-991 (2014).
449. Iron-Catalyzed Directed Alkylation of Aromatic and Olefinic Carboxamides with Primary and Secondary Alkyl Tosylates, Mesylates, and Halides, L. Ilies, T. Matsubara, S. Ichikawa, S. Asako, E. Nakamura, J. Am. Chem. Soc., 136, 13126-13129 (2014).
448. Enhancement in the Efficiency of an Organic-Inorganic Hybrid Solar Cell with a Doped P3HT Hole-Transporting Layer on a Void-Free Perovskite Active Layer, Y. Guo, C. Liu, K. Inoue, K. Harano, H. Tanaka, E. Nakamura, J. Mater. Chem. A, 2, 13827-13830 (2014).
447. siRNA Delivery Targeting to the Lung via Agglutination-Induced Accumulation and Clearance of Cationic Tetraamino Fullerene, K. Minami, K. Okamoto, K. Doi, K. Harano, E. Noiri, E. Nakamura, Sci. Rep., 4, 4916 (2014).
446. ortho-Allylation of 1-Arylpyrazoles with Allyl Phenyl Ether via Iron-Catalyzed C-H Bond Activation under Mild Conditions, S. Asako, J. Norinder, L. Ilies, N. Yoshikai, E. Nakamura, Adv. Synth. Catal., 356, 1481-1485 (2014).
445. Synthesis, Crystal Packing, and Ambipolar Carrier Transport Property of Twisted Dibenzo[g,p]chrysenes, Y. Ueda, H. Tsuji, H. Tanaka, E. Nakamura, Chem. Asian J., 9, 1623-1628 (2014).
444. Formation of a Polycrystalline Film of Donor Material on PEDOT:PSS Buffer Induced by Crystal Nucleation, K. Harano, S. Okada, S. Furukawa, H. Tanaka, E. Nakamura, J. Polym. Sci. Part B: Polym. Phys., 52, 833-841 (2014).
443. Photo-cross-linking of Exterior of Fullerene Bilayer that Prevents Vesicle Aggregation, K. Harano, A. Narita, E. Nakamura, Chem. Lett., 43, 877-879 (2014). (Selected as Editor’s Choice and Cover Picture, open-access article)
442. Mobility of Long-Lived Fullerene Radical in Solid State and Nonlinear Temperature Dependence, Y. Abe, H. Tanaka, Y. Guo, Y. Matsuo, E. Nakamura, J. Am. Chem. Soc., 136, 3366-3369 (2014). (Highlighted in JACS Spotlights, J. Am. Chem. Soc., 136, 4091-4092 (2014).)
441. Direct Probing of the Structure and Electron Transfer of Fullerene/Ferrocene Hybrid on Au(111) Electrodes by in Situ Electrochemical STM, T. Chen, D. Wang, L.-H. Gan, Y. Matsuo, J.-Y. Gu, H.-J. Yan, E. Nakamura, L.-J. Wan, J. Am. Chem. Soc., 136, 3184-3191 (2014).
440. Synthesis of Polysubstituted Enynes via Iron-Catalyzed Carbomagnesiation of Conjugated Diynes, L. Ilies, T. Yoshida, E. Nakamura, Synlett, 25, 527-530 (2014).
439. Theoretical Study on Alkoxydiphosphine Ligand for Bimetallic Cooperation in Nickel-Catalyzed Monosubstitution of C-F Bond, S. Asako, L. Ilies, P. Verma, S. Ichikawa, E. Nakamura, Chem. Lett., 43, 726-728 (2014).
438. Large Electronic Coupling in a Homoconjugated Donor-Acceptor System Involving Carbon-Bridged Oligo-p-Phenylenevinylene and Triazine, J. Sukegawa, H. Tsuji, E. Nakamura, Chem. Lett., 43, 699-701 (2014).
437. Synthesis of Triphosphatruxene via Sextuple Aromatic Nucleophilic Substitution and Simple Isolation of Stereoisomers, T. Kojima, S. Furukawa, H. Tsuji, E. Nakamura, Chem. Lett., 43, 676-677 (2014).
436. Unraveling Organocuprate Complexity: Fundamental Insights into Intrinsic Group Transfer Selectivity in Alkylation Reactions, N. J. Rijs, N. Yoshikai, E. Nakamura, R. A. J. O’Hair, J. Org. Chem., 79, 1320-1334 (2014).
435. Synthesis of Anthranilic Acid Derivatives through Iron-Catalyzed Ortho Amination of Aromatic Carboxamides with N-Chloroamines, T. Matsubara, S. Asako, L. Ilies, E. Nakamura, J. Am. Chem. Soc., 136, 646-649 (2014).
434. Conformational Analysis of Single Perfluoroalkyl Chains by Single-Molecule Real-Time Transmission Electron Microscopic Imaging, K. Harano, S. Takenaga, S. Okada, Y. Niimi, N. Yoshikai, H. Isobe, K. Suenaga, H. Kataura, M. Koshino, E. Nakamura, J. Am. Chem. Soc., 136, 466-473 (2014).
433. Acceleration of Tri-Addition to [70]Fullerene by “Nanom Black” Fullerene Soot, Y. Matsuo, S. Yasuda, K. Suemura, E. Nakamura, Fuller. Nanotub. Carbon Nanostruct., 22, 196-201 (2014).
432. Friedel–Crafts functionalization of the cyclopentadienyl ligand in buckymetallocenes, Y. Matsuo, Y. Kuninobu, S. Ito, M. Sawamura, E. Nakamura, Dalton Trans., 43, 7407-7412 (2014).
431. Iron-Catalyzed Ortho-Allylation of Aromatic Carboxamides with Allyl Ethers, S. Asako, L. Ilies, E. Nakamura, J. Am. Chem. Soc., 135, 17755-17757 (2013).
430. Addition of Dihydromethano Group to Fullerenes to Improve the Performance of Bulk Heterojunction Organic Solar Cells, Y. Matsuo, J. Kawai, H. Inada, T. Nakagawa, H. Ota, S. Otsubo, E. Nakamura, Adv. Mater., 25, 6266-6269 (2013).
429. Selective Synthesis of Co8S15 Cluster in Bowl-Shaped Template of the Pentaaryl[60]fullerene Ligand, M. Maruyama, K. Imoto, M. König, D. M. Guldi, S. Ohkoshi, E. Nakamura, Y. Matsuo, J. Am. Chem. Soc., 135, 10914-10917 (2013).
428. Binding of Aromatic Molecules in the Fullerene-Rich Interior of a Fullerene Bilayer Vesicle in Water, K. Harano, R. M. Gorgoll, E. Nakamura, Chem. Commun., 49, 7629-7631 (2013).
427. Photocrosslinking of Fullerene Vesicles that Prevents Phase Transition and Decreases Water Permeation, K. Harano, A. Narita, E. Nakamura, Chem. Lett., 42, 1176-1178 (2013). (Selected as Editor’s Choice, open-access article)
426. Magnetic Properties of Decamethyl Fullerenes: Radical Spin Interactions in Chemically Functionalized Fullerenes, H. Nitta, Y. Matsuo, E. Nakamura, S. Okada, Appl. Phys. Express, 6, 045102 (2013).
425. Regioselective [2 + 2] Cycloaddition of a Fullerene Dimer with an Alkyne Triggered by Thermolysis of an Interfullerene C-C Bond, Z. Xiao, Y. Matsuo, M. Maruyama, E. Nakamura, Org. Lett., 15, 2176-2178 (2013).
424. β-Arylation of Carboxamides via Iron-Catalyzed C(sp3)-H Bond Activation, R. Shang, L. Ilies, A. Matsumoto, E. Nakamura, J. Am. Chem. Soc., 135, 6030-6032 (2013).
423. Polymer Janus Particles Containing Block-Copolymer Stabilized Magnetic Nanoparticles, H. Yabu, M. Kanahara, M. Shimomura, T. Arita, K. Harano, E. Nakamura, T. Higuchi, H. Jinnai, ACS Appl. Mater. Interfaces, 5, 3262-3266 (2013).
422. Protein-Coated Nanocapsules via Multilevel Surface Modification. Controlled Preparation and Microscopic Analysis at Nanometer Resolution, K. Harano, K. Minami, E. Noiri, K. Okamoto, E. Nakamura, Chem. Commun., 49, 3525-3527 (2013).
421. Synthesis of Benzotrifuran and Benzotripyrrole Derivatives and Molecular Orientations on the Surface and in the Solid State, H. Tsuji, G. Cantagrel, Y. Ueda, T. Chen, L.-J. Wan, E. Nakamura, Chem. Asian J., 8, 2377-2382 (2013).
420. Reactivity of a Metastable Cobalt(III) Trisulfide Complex: Multiple C-H Functionalization of p-Xylene and Disulfides to Afford Photofunctional Cobalt Complexes , M. Maruyama, M. König, D. M. Guldi, E. Nakamura, Y. Matsuo, Angew. Chem. Int. Ed., 52, 3015-3018 (2013).
419. 1-Aryl-4-Silylmethyl[60]fullerenes: Synthesis, Properties, and Photovoltaic Performance, Y. Matsuo, H. Oyama, I. Soga, T. Okamoto, H. Tanaka, A. Saeki, S. Seki, E. Nakamura, Chem. Asian J., 8, 121-128 (2013).
418. Iron-Catalyzed Allylic Arylation of Olefins via C(sp3)-H Activation under Mild Conditions, M. Sekine, L. Ilies, E. Nakamura, Org. Lett., 15, 714-717 (2013).
417. New Sensitizers for Dye-sensitized Solar Cells Featuring a Carbon-bridged Phenylenevinylene, X. Zhu, H. Tsuji, A. Yella, A.-S. Chauvin, M. Grätzel, E. Nakamura, Chem. Commun., 49, 582-584 (2013).
416. Photostability of a Dyad of Magnesium Porphyrin and Fullerene and its Application to Photocurrent Conversion, T. Ichiki, Y. Matsuo, E. Nakamura, Chem. Commun., 49, 279-281 (2013).
415. Carbon-Bridged Oligo(phenylenevinylene)s: Stable π-Systems with High Responsiveness to Doping and Excitation, X. Zhu, H. Tsuji, J. T. L. Navarrete, J. Casado, E. Nakamura, J. Am. Chem. Soc., 134, 19254-19259 (2012).
414. Nickel-Catalyzed Synthesis of Diarylamines via Oxidatively Induced C-N Bond Formation at Room Temperature, L. Ilies, T. Matsubara, E. Nakamura, Org. Lett., 14, 5570-5573 (2012).
413. Iron-Catalyzed Chemo- and Stereoselective Hydromagnesiation of Diarylalkynes and Diynes, L. Ilies, T. Yoshida, E. Nakamura, J. Am. Chem. Soc., 134, 16951-16954 (2012).
412. Synthesis of Polysubstituted Naphthalenes by Iron-Catalyzed [2+2+2] Annulation of Grignard Reagents with Alkynes, L. Ilies, A. Matsumoto, M. Kobayashi, N. Yoshikai, E. Nakamura, Synlett, 23, 2381-2384 (2012).
411. Anthradifuran, a Furan Analogue of Pentacene, and Its Isomers, Exhibiting Solid-state Photoluminescence, H. Tsuji, K. Shoyama, E. Nakamura, Chem. Lett., 41, 957-959 (2012).
410. Heterogeneous Nucleation of Organic Crystals Mediated by Single-Molecule Templates, K. Harano, T. Homma, Y. Niimi, M. Koshino, K. Suenaga, L. Leibler, E. Nakamura, Nat. Mater., 11, 877-881 (2012). (Highlighted in News and Views, Nat. Mater., 11, 838-840 (2012).)
409. Benzo[c]thiophene-C60 Diadduct: An Electron Acceptor for p-n Junction Organic Solar Cells Harvesting Visible to Near-IR Light, Y. Zhen, N. Obata, Y. Matsuo, E. Nakamura, Chem. Asian J., 7, 2644-2649 (2012).
408. Synthesis of Tetradeca- and Pentadeca(organo)[60]fullerenes Containing Unique Photo- and Electroluminescent π-Conjugated Systems, T. Fujita, Y. Matsuo, E. Nakamura, Chem. Mater., 24, 3972-3980 (2012).
407. Iron-Catalyzed ortho Monoarylation of Benzamide Derivatives, L. Ilies, E. Konno, Q. Chen, E. Nakamura, Asian J. Org. Chem., 1, 142-145 (2012).
406. Tripyridyltruxenes: Thermally Stable Cathode Buffer Materials for Organic Thin-Film Solar Cells, H. Tsuji, Y. Ota, S. Furukawa, C. Mitsui, Y. Sato, E. Nakamura, Asian J. Org. Chem., 1, 34-37 (2012). (Highlighted in “Spotlights on our sister journals”, Angew. Chem. Int. Ed., 51, 9724-9727 (2012).)
405. Electropolymerized Conjugated Polyelectrolytes with Tunable Work Function and Hydrophobicity as an Anode Buffer in Organic Optoelectronics, S. Lacher, N. Obata, S.-C. Luo, Y. Matsuo, B. Zhu, H.-H. Yu, E. Nakamura, ACS Appl. Mater. Interfaces, 4, 3396-3404 (2012).
404. Nickel-Catalyzed Monosubstitution of Polyfluoroarenes with Organozinc Reagents Using Alkoxydiphosphine Ligand, Y. Nakamura, N. Yoshikai, L. Ilies, E. Nakamura, Org. Lett., 14, 3136-3319 (2012).
403. An Amorphous Mesophase Generated by Thermal Annealing for High-Performance Organic Photovoltaic Devices, H. Tanaka, Y. Abe, Y. Matsuo, J. Kawai, I. Soga, Y. Sato, E. Nakamura, Adv. Mater., 24, 3521-3525 (2012).
402. Structurally Defined High-LUMO-level 66π-[70]Fullerene Derivatives: Synthesis and Application in Organic Photovoltaic Cells, Z. Xiao, Y. Matsuo, I. Soga, E. Nakamura, Chem. Mater., 24, 2572-2582 (2012).
401. Carbazolyl Benzo[1,2-b:4,5-b’]difuran: An Ambipolar Host Material for Full-Color Organic Light-Emitting Diodes, C. Mitsui, H. Tsuji, Y. Sato, E. Nakamura, Chem. Asian J., 7, 1443-1450 (2012).
400. Deterioration of Bulk Heterojunction Organic Photovoltaic Devices by a Minute Amount of Oxidized Fullerene, Y. Matsuo, A. Ozu, N. Obata, N. Fukuda, H. Tanaka, E. Nakamura, Chem. Commun., 48, 3878-3880 (2012).
399. Naphtho[2,1-b:6,5-b’]difuran: A Versatile Motif Available for Solution-Processed Single-Crystal Organic Field-Effect Transistors with High Hole Mobility, C. Mitsui, J. Soeda, K. Miwa, H. Tsuji, J. Takeya, E. Nakamura, J. Am. Chem. Soc., 134, 5448-5451 (2012).
398. Iron-Catalyzed Nitrogen-Directed Coupling of Arene and Aryl Bromides Mediated by Metallic Magnesium, L. Ilies, M. Kobayashi, A. Matsumoto, N. Yoshikai, E. Nakamura, Adv. Synth. Catal., 354, 593-596 (2012).
397. Gas-Phase Reactivity of Group 11 Dimethylmetallates with Allyl Iodide, N. J. Rijs, N. Yoshikai, E. Nakamura, R. A. J. O’Hair, J. Am. Chem. Soc., 134, 2569-2580 (2012).
396. Iron-Catalyzed Regio- and Stereoselective Chlorosulfonylation of Terminal Alkynes with Aromatic Sulfonyl Chlorides, X. Zeng, L. Ilies, E. Nakamura, Org. Lett., 14, 954-956 (2012).
395. Role of Subsurface Diffusion and Ostwald Ripening in Catalyst Formation for Single-Walled Carbon Nanotube Forest Growth, S. Sakurai, H. Nishino, D. N. Futaba, S. Yasuda, T. Yamada, A. Maigne, Y. Matsuo, E. Nakamura, M. Yumura, K. Hata, J. Am. Chem. Soc., 134, 2148-2153 (2012).
394. Small-molecule-based organic photovoltaic devices covering visible and near-infrared absorption through phase transition of titanylphthalocyanine induced by solvent exposure, N. Obata, Y. Sato, E. Nakamura, Y. Matsuo, Jpn. J. Appl. Phys., 50, 121603 (2011).
393. Electric Field Dependent Photocurrent Generation in a Thin-Film Organic Photovoltaic Device with a [70]fullerene-Benzodifuranone Dyad, P. A. Ulmann, H. Tanaka, Y. Matsuo, Z. Xiao, I. Soga, E. Nakamura, Phys. Chem. Chem. Phys., 13, 21045-21049 (2011).
392. Regioselective Synthesis of Tetra(aryl)-Mono(silylmethyl)[60]fullerenes and Derivatization to Methanofullerene Compound, C.-Z. Li, Y. Matsuo, E. Nakamura, Tetrahedron, 67, 9944-9949 (2011).
391. Regiocontrolled Synthesis of 1,2-Di(organo)fullerenes via Copper-Assisted 1,4-Aryl Migration from Silicon to Carbon , Y. Zhang, Y. Matsuo, E. Nakamura, Org. Lett., 13, 6058-6061 (2011).
390. Iron-Catalyzed Oxidative Monoarylation of Primary Amines with Organozinc Reagents, Y. Nakamura, L. Ilies, E. Nakamura, Org. Lett., 13, 5998-6001 (2011).
389. Synthesis of Functionalized 1H-Indenes via Copper-Catalyzed Arylative Cyclization of Arylalkynes with Aromatic Sulfonyl Chlorides, X. Zeng, L. Ilies, E. Nakamura, J. Am. Chem. Soc., 133, 17638-17640 (2011).
388. Molecular and Supramolecular Control of the Work Function of an Inorganic Electrode with Self-Assembled Monolayer of Umbrella-Shaped Fullerene Derivatives, S. Lacher, Y. Matsuo, E. Nakamura, J. Am. Chem. Soc., 133, 16997-17004 (2011).
387. Air- and Heat-Stable Planar Tri-p-quinodimethane with Distinct Biradical Characteristics , X. Zhu, H. Tsuji, K. Nakabayashi, S. Ohkoshi, E. Nakamura, J. Am. Chem. Soc., 133, 16342-16345 (2011).
386. Iron-Catalyzed C-H Bond Activation for the ortho-Arylation of Aryl Pyridines and Imines with Grignard Reagents, N. Yoshikai, S. Asako, T. Yamakawa, L. Ilies, E. Nakamura, Chem. Asian J., 6, 3059-3065 (2011).
385. Facile Synthesis of a 56π-electron 1,2-Dihydromethano-[60]PCBM and its Application for Thermally Stable Polymer Solar Cells, C.-Z. Li, S.-C. Chien, H.-L. Yip, C.-C. Chueh, F.-C. Chen, Y. Matsuo, E. Nakamura, A. K.-Y. Jen, Chem. Commun., 10082-10084 (2011).
384. Electron Microscopic Imaging of a Single Group 8 Metal Atom Catalyzing C-C Bond Reorganization of Fullerenes, E. Nakamura, M. Koshino, T. Saito, Y. Niimi, K. Suenaga, Y. Matsuo, J. Am. Chem. Soc., 133, 14151-14153 (2011).
383. Bis(carbazolyl)benzodifuran has a High Triplet Energy Level for Application in Blue Phosphorescent OLED, C. Mitsui, H. Tanaka, H. Tsuji, E. Nakamura, Chem. Asian J., 6, 2296-2300 (2011).
382. Bis-Cinnolines as n-Type Semiconducting Material with High Electron Mobility and Thermal Stability and their Application in Organic Photovoltaic Cells, H. Tsuji, Y. Yokoi, Y. Sato, H. Tanaka, E. Nakamura, Chem. Asian J., 6, 2005-2008 (2011).
381. Cobalt-Catalyzed Coupling of Alkyl Grignard Reagent with Benzamide and 2-Phenylpyridine Derivatives through Directed C-H Bond Activation under Air, Q. Chen, L. Ilies, N. Yoshikai, E. Nakamura, Org. Lett., 13, 3232-3234 (2011).
380. Molecular Photoelectric Switch Using a Mixed SAM of Organic [60]Fullerene and [70]Fullerene Doped with a Single Iron Atom, Y. Matsuo, T. Ichiki, E. Nakamura, J. Am. Chem. Soc., 133, 9932-9937 (2011).
379. A Scalable Synthesis of Methano[60]fullerene and Congeners by the Oxidative Cyclopropanation Reaction of Silylmethylfullerene, Y. Zhang, Y. Matsuo, C.-Z. Li, H. Tanaka, E. Nakamura, J. Am. Chem. Soc., 133, 8086-8089 (2011).
378. Modular Synthesis and Photophysical and Electrochemical Properties of 2,3,5,6-Tetraaryl-Substituted Benzo[1,2-b:5,4-b’]difurans, H. Tsuji, C. Mitsui, Y. Sato, E. Nakamura, Heteroatom Chem., 22, 316-324 (2011).
377. Iron-Catalyzed Stereospecific Activation of Olefinic C-H Bonds with Grignard Reagent for Synthesis of Substituted Olefins, L. Ilies, S. Asako, E. Nakamura, J. Am. Chem. Soc., 133, 7672-7675 (2011).
376. Mechanochromic and Color-change Properties of 2,6-Di(2-pyridyl)benzo[1,2-b:4,5-b‘]difuran in the Solid and Solution, H. Tsuji, G. M. O. Favier, C. Mitsui, S. Lee, D. Hashizume, E. Nakamura, Chem. Lett., 40, 576-578 (2011).
375. Synthesis of 1,4-Diaryl[60]fullerenes by Bis-Hydroarylation of C60 and their Use in Solution-Processable, Thin-Film Organic Photovoltaic Cells, Y. Matsuo, Y. Zhang, I. Soga, Y. Sato, E. Nakamura, Tetrahedron Lett., 52, 2240-2242 (2011)
374. Isolation of Planar Four-Membered Aromatic Systems by Using Confined Spaces of Cobalt Pentaaryl[60]fullerene Complexes, M. Maruyama, J.-D. Guo, S. Nagase, E. Nakamura, Y. Matsuo, J. Am. Chem. Soc., 133, 6890-6893 (2011).
373. Indium-Catalyzed Synthesis of Furans and Pyrroles via Cyclization of α-Propargyl-β-keto Esters, H. Tsuji, K. Yamagata, Y. Ueda, E. Nakamura, Synlett, 7, 1015-1017 (2011).
372. Phenanthrene Synthesis by Iron-Catalyzed [4 + 2] Benzannulation between Alkyne and Biaryl or 2-Alkenylphenyl Grignard Reagent, A. Matsumoto, L. Ilies, E. Nakamura, J. Am. Chem. Soc., 133, 6557-6559 (2011).
371. Preparation and Properties of Vesicles Made of Nonpolar/Polar/Nonpolar Fullerene Amphiphiles, T. Homma, K. Harano, H. Isobe, E. Nakamura, J. Am. Chem. Soc., 133, 6364-6370 (2011).
370. Cobalt-Catalyzed Chemoselective Insertion of Alkene into the Ortho C−H Bond of Benzamide, L. Ilies, Q. Chen, X. Zeng, E. Nakamura, J. Am. Chem. Soc., 133, 5221-5223 (2011).
369. Cobalt-Catalyzed ortho-Alkylation of Secondary Benzamide with Alkyl Chloride through Directed C−H Bond Activation, Q. Chen, L. Ilies, E. Nakamura, J. Am. Chem. Soc., 133, 428-429 (2011).
368. Simple Formation of C60 and C60-Ferrocene Conjugated Monolayers Anchored onto Silicon Oxide with Five Carboxylic Acids and Their Transistor Applications, Y. Itoh, B. Kim, R. I. Gearba, N. J. Tremblay, R. Pindak, Y. Matsuo, E. Nakamura, C. Nuckolls, Chem. Mater., 23, 970-975 (2011).
367. Face-to-Face C6F5-[60]Fullerene Interaction for Ordering Fullerene Molecules and Application to Thin-Film Organic Photovoltaics, C.-Z. Li, Y. Matsuo, T. Niinomi, Y. Sato, E. Nakamura, Chem. Commun., 46, 8582-8584 (2010).
366. Octupole-like Supramolecular Aggregates of Conical Iron Fullerene Complexes into a Three-Dimensional Liquid Crystalline Lattice, C.-Z. Li, Y. Matsuo, E. Nakamura, J. Am. Chem. Soc., 132, 15514-15515 (2010).
365. Conical Pentaaryl[60]fullerene Thiols: Self-Assembled Monolayers on Gold and Photocurrent Generating Property, Y. Matsuo, S. Lacher, A. Sakamoto, K. Matsuo, E. Nakamura, J. Phys. Chem. C., 114, 17741-17752 (2010).
364. Copper-Catalyzed Formal [4 + 2] Annulation between Alkyne and Fullerene Bromide, Z. Xiao, Y. Matsuo, E. Nakamura, J. Am. Chem. Soc., 132, 12234-12236 (2010).
363. Synthesis of Tetrasubstituted Alkenes by Stereo- and Regioselective Stannyllithiation of Diarylacetylenes, H. Tsuji, Y. Ueda, L. Ilies, E. Nakamura, J. Am. Chem. Soc., 132, 11854-11855 (2010).
362. Ligand Exchange Reactions in Cu(III) Complexes: Mechanistic Insights by Combined NMR and DFT Studies, T. Gärtner, N. Yoshikai, M. Neumeier, E. Nakamura, R. M. Gschwind, Chem. Commun., 46, 4625-4626 (2010).
361. Modular Synthesis of Polybenzo[b]silole Compounds for Hole-Blocking Material in Phosphorescent Organic Light Emitting Diodes, L. Ilies, Y. Sato, C. Mitsui, H. Tsuji, E. Nakamura, Chem. Asian J., 5, 1376-1381 (2010).
360. Benzophosphole Oxide and Sulfide for Thermally Stable Cathode Buffer Layers in Organic Thin-Film Photovoltaic Devices, H. Tsuji, K. Sato, Y. Sato, E. Nakamura, Chem. Asian J., 5, 1294-1297 (2010).
359. Iron-Catalyzed, Directed Oxidative Arylation of Olefins with Organozinc and Grignard Reagents, L. Ilies, J. Okabe, N. Yoshikai, E. Nakamura, Org. Lett., 12, 2838-2840 (2010).
358. Highly Soluble Penta[(alkyl)dimethylsilylmethyl][60]fullerenes and their Ruthenium and Palladium Complexes, Y. Matsuo, A. Muramatsu, J. Lu, E. Nakamura, Chem. Lett., 39, 342-343 (2010).
357. Loading Pentapod Deca(organo)[60]fullerenes with Electron Donors: From Photophysics to Photoelectrochemical Bilayers, Y. Matsuo, T. Ichiki, S. G. Radhakrishnan, D. M. Guldi, E. Nakamura, J. Am. Chem. Soc., 132, 6342-6348 (2010).
356. Iron-Catalyzed C−C Bond Formation at α-Position of Aliphatic Amines via C−H Bond Activation through 1,5-Hydrogen Transfer, N. Yoshikai, A. Mieczkowski, A. Matsumoto, L. Ilies, E. Nakamura, J. Am. Chem. Soc., 132, 5568-5569 (2010).
355. Reductive Benzylation of Dimetallo Hexaaryl[70]Fullerenes on the Equatorial Region, T. Fujita, Y. Matsuo, E. Nakamura, Chem. Asian J., 5, 835-840 (2010).
354. Synthesis of Ruthenium Pentamethyl[60]fullerene Complexes Bearing Monodentate Diphenylphosphino-methane, -ferrocene, and -butane Ligands, Y. Matsuo, B. K. Park, Y. Mitani, Y.-W. Zhong, M. Maruyama, E. Nakamura, Bull. Korean Chem. Soc., 31, 697-699 (2010).
353. In Vivo Gene Delivery by Cationic Tetraamino Fullerene, R. Maeda-Mamiya, E. Noiri, H. Isobe, W. Nakanishi, K. Okamoto, K. Doi, T. Sugaya, T. Izumi, T. Homma, E. Nakamura, Proc. Natl. Acad. Sci. USA, 107, 5339-5344 (2010).
352. Synthesis and Structures of Deoxyribonucleoside Analogues for Triazole-Linked DNA, T. Fujino, N. Tsunaka, M. Guillot-Nieckowski, W. Nakanishi, T. Iwamoto, E. Nakamura, H. Isobe, Tetrahedron Lett., 51, 2036-2038 (2010).
351. Nanometer-Sized Fluorous Fullerene Vesicles in Water and on Solid Surfaces, T. Homma, K. Harano, H. Isobe, E. Nakamura, Angew. Chem. Int. Ed., 49, 1665-1668 (2010).
350. Iron-Catalyzed Direct Arylation of Aryl Pyridines and Imines Using Oxygen as an Oxidant, N. Yoshikai, A. Matsumoto, J. Norinder, E. Nakamura, Synlett, 313-316 (2010).
349. Substituent-Dependent Ordering of Adlayer Structures of Fullerene Derivatives Adsorbed on Au(111): A Scanning Tunneling Microscopy Study, T. Chen, G.-B. Pan, H.-J. Yan, L.-J. Wan, Y. Matsuo, E. Nakamura, J. Phys. Chem. C, 114, 3170-3174 (2010).
348. Analysis of the Reactivity and Selectivity of Fullerene Dimerization Reactions at the Atomic Level, K. Koshino, Y. Niimi, E. Nakamura, H. Kataura, T. Okazaki, K. Suenaga, S. Iijima, Nat. Chem., 2, 117-124 (2010).
347. Luminescent Bow-Tie-Shaped Decaaryl[60]fullerene Mesogens, C.-Z. Li, Y. Matsuo, E. Nakamura, J. Am. Chem. Soc., 131, 17058-17059 (2009).
346. Photoinduced Electron Transfer of Nanohybrids of Carbon Nanohorns with Amino Groups and Tetrabenzoic Acid Porphyrin in Aqueous Media, A. S. D. Sandanayaka, O. Ito, T. Tanaka, H. Isobe, E. Nakamura, M. Yudasaka, S. Iijima, New J. Chem., 33, 2261-2266 (2009).
345. Columnar Structure in Bulk Heterojunction in Solution-Processable Three-Layered p-i-n Organic Photovoltaic Devices Using Tetrabenzoporphyrin Precursor and Silylmethyl[60]fullerene, Y. Matsuo, Y. Sato, T. Niinomi, I. Soga, H. Tanaka, E. Nakamura, J. Am. Chem. Soc., 131, 16048-16050 (2009).
344. Iron-Catalyzed Cross-Coupling of Alkyl Sulfonates with Arylzinc Reagents, S. Ito, Y. Fujiwara, E. Nakamura, and M. Nakamura, Org. Lett., 11, 4306-4309 (2009).
343. Modular Synthesis of 1H-Indenes, Dihydro-s-Indacene, and Diindenoindacene-a Carbon-Bridged p-Phenylenevinylene Congener, X. Zhu, C. Mitsui, H. Tsuji, and E. Nakamura, J. Am. Chem. Soc., 131, 13596-13597 (2009).
342. Synthesis of Imino[60]fullerenes Using Nitriles and Trimethylsilylmethyl Triflate, K. Matsuo, Y. Matsuo, A. Iwashita, and E. Nakamura, Org. Lett., 11, 4192-4194 (2009).
341. Efficient Bidirectional Photocurrent Generation by Self-Assembled Monolayer of Penta(aryl)[60]fullerene Phosphonic Acid, A. Sakamoto, Y. Matsuo, K. Matsuo, and E. Nakamura, Chem. Asian J., 4, 1208-1212 (2009).
340. π-Conjugated multidonor/acceptor arrays of fullerene-cobaltadithiolene-tetrathiafulvalene: from synthesis and structure to electronic interactions, Y. Matsuo, M. Maruyama, S. S. Gayathri, T. Uchida, D. Guldi, H.Kishida, A. Nakamura, and E. Nakamura, J. Am. Chem. Soc., 131, 12643-12649 (2009).
339. Synthesis of Benzo[b]siloles via KH-Promoted Cyclization of (2-Alkynylphenyl)silanes, L. Ilies, H. Tsuji, and E. Nakamura, Org. Lett., 11, 3966-3968 (2009).
338. Synthesis of Ethyl 2-Ethanoyl-2-methyl-3-phenylbut-3-enoate, T. Fujimoto, K. Endo, M. Nakamura, and E. Nakamura, Org. Synth., 86, 325-332 (2009).
337. Di- and Trinuclear [70]Fullerene Complexes: Syntheses and Metal-Metal Electronic Interactions, Y. Matsuo, K. Tahara, T. Fujita, and E. Nakamura, Angew. Chem. Int. Ed., 48, 6239-6241 (2009).
336. Hydroxyphosphine Ligand for Nickel-Catalyzed Cross-Coupling through Nickel/Magnesium Bimetallic Cooperation, N. Yoshikai, H. Matsuda, and E. Nakamura, J. Am. Chem. Soc., 131, 9590-9599 (2009).
335. Penta(organo)[60]fullerenes as Acceptors for Organic Photovoltaic Cells, T. Niinomi, Y. Matsuo, Y. Sato, and E. Nakamura, J. Mater. Chem., 19, 5804-5811 (2009).
334. Enantioselective Copper-Catalyzed Allylic Substitution Reaction with Aminohydroxyphosphine Ligand, N. Yoshikai, K. Miura, and E. Nakamura, Adv. Synth. Cat., 351, 1014-1018 (2009).
333. Bis(carbazolyl)benzodifuran: A High-mobility Ambipolar Material for Homojunction Organic Light-emitting Diode Devices, H. Tsuji, C. Mitsui, Y. Sato, and E. Nakamura, Adv. Mater., 21, 3776-3779 (2009).
332. Benzo[b]phosphole Sulfides. Highly Electron-Transporting and Thermally Stable Molecular Materials for Organic Semiconductor Devices, H. Tsuji, K. Sato, Y. Sato, and E. Nakamura, J. Mater. Chem., 19, 3364-3366 (2009).
331. Ring-Opening Reaction of Tetrahydrofuran on the Penta(organo)[60]fullerenes: Synthesis of Hydroxybutyl, Methacrylate, and Norbornene Derivatives, Y. Matsuo, A. Iwashita, H. Oyama, and E. Nakamura, Tetrahedron Lett., 50, 3411-3413 (2009). (50th Anniversary of Tetrahedron Letters)
330. Indium-Catalyzed [1 + n] Cyclization of β-Ketoester and 1,ω-Diyne, H. Tsuji, I. Tanaka, K. Endo, K. Yamagata, M. Nakamura, and E. Nakamura, Org. Lett., 11, 1845-1847 (2009).
329. Tetraaryl-substituted Benzo[1,2-b:4,5-b’]dipyrroles: Synthesis, Properties, and Applications to Hole-injection Materials in OLED Devices, H. Tsuji, Y. Yokoi, C. Mitsui, L. Ilies, Y. Sato, and E. Nakamura, Chem. Asian J., 4, 655-657 (2009).
328. Synthesis, Electrochemical and Photophysical Properties, and Electroluminescent Performance of the Octa- and Deca(aryl) [60]fullerene Derivatives, Y. Matsuo, Y. Sato, M. Hashiguchi, K. Matsuo, and E. Nakamura, Adv. Funct. Mat., 19, 2224-2229 (2009).
327. Random Telegraphic Conductance Fluctuation at Au−Pentacene−Au Nanojunctions, Y. Kihara, T. Shimada, Y. Matsuo, E. Nakamura, and T. Hasegawa, Nano Lett., 9, 1442-1446 (2009).
326. Iron-Catalyzed Chemoselective ortho-Arylation of Aryl Imines by Directed C-H Bond Activation, N. Yoshikai, A. Matsumoto, J. Norinder, and E. Nakamura, Angew. Chem. Int. Ed., 48, 2925-2928 (2009).
325. Iron and Ruthenium Nanoparticles in Carbon Prepared by Thermolysis of Buckymetallocenes, T. Nakae, Y. Matsuo, M. Takagi, Y. Sato, K. Suenaga, and E. Nakamura, Chem. Asian J., 4, 457-465 (2009).
324. Mechanistic Study on Manganese-Catalyzed [2+2+2] Annulation of 1,3-Dicarbonyl Compound and Terminal Alkynes, N. Yoshikai, S. Zhang, K.-i. Yamagata, H. Tsuji, and E. Nakamura, J. Am. Chem. Soc.,131, 4099-4109 (2009).
323. Iron-catalysed Fluoroaromatic Coupling Reactions under Catalytic Modulation with 1,2-Bis(diphenylphosphino)benzene, T. Hatakeyama, Y. Kondo, Y.-i. Fujiwara, H. Takaya, S. Ito, E. Nakamura, and M. Nakamura, Chem. Commun., 1216-1218 (2009).
322. Efficient Formation of Ring Structures Utilizing Multisite Activation by Indium Catalysis, Y. Itoh, H. Tsuji, K. Yamagata, K. Endo, I. Tanaka, M. Nakamura, and E. Nakamura, J. Am. Chem. Soc., 130, 17161-17167 (2008).
321. Uniquely Shaped Double-Decker Buckyferrocenes – Distinct Electron Donor-Acceptor Interactions, M. Renata, M. Wielopolski, S. S. Gayathri, D. Guldi, Y. Matsuo, K. Matsuo, K. Tahara and E. Nakamura, J. Am. Chem. Soc., 130, 16207-16215 (2008).
320. Diastereoselective Addition of Zincated Hydrazones to Alkenylboronates and Stereospecific Trapping of Boron/Zinc Bimetallic Intermediates by Carbon Electrophiles, T. Hatakeyama, M. Nakamura, and E. Nakamura, J. Am. Chem. Soc., 130, 15688-15701 (2008).
319. Regioselective Synthesis of 1,4-Di(organo)[60]fullerenes through DMF-assisted Monoaddition of Silylmethyl Grignard Reagents and Subsequent Alkylation Reaction, Y. Matsuo, A. Iwashita, Y. Abe, C.-Z. Li, K. Matsuo, M. Hashiguchi, and E. Nakamura, J. Am. Chem. Soc., 130, 15429-15436 (2008).
318. Ligand Exchange as the First Irreversible Step in the Nickel-Catalyzed Cross-Coupling Reaction of Grignard Reagents, N. Yoshikai, H. Matsuda, and E. Nakamura, J. Am. Chem. Soc., 130, 15258-15259 (2008).
317. Mono- and Penta-Addition of Enol Silyl Ethers to [60]Fullerene, E. Nakamura, S. Mouri, Y. Nakamura, K. Harano, and H. Isobe, Org. Lett., 10, 4923-4926 (2008).
316. Imaging of the Passage of a Single Hydrocarbon Chain through a Nanopore, M. Koshino, N. Solin, T. Tanaka, H. Isobe, and E. Nakamura, Nat. Nanotechnol., 3, 595-597 (2008).
315. Origin of the Regio- and Stereoselectivity of Allylic Substitution of Organocopper Reagents, N. Yoshikai, S.-L. Zhang, and E. Nakamura, J. Am. Chem. Soc., 130, 12862-12863 (2008).
314. Light Emission of [10]Cyclophenacene through Energy Transfer from Neighboring Carbazolylphenyl Dendrons, X. Zhang, Y. Matsuo, and E. Nakamura, Org. Lett., 10, 4145-4147 (2008).
313. Penta(pyrenyl)[60]fullerenes. Pyrene-Pyrene and [60]Fullerene-Pyrene Interactions in the Crystal and in Solution, Y. Matsuo, K. Morita, and E. Nakamura, Chem. Asian. J., 3, 1350-1357 (2008).
312. Group 6 Metal Complexes of the η5-Pentamethyl[60]fullerene, Y. Matsuo, A. Iwashita, and E. Nakamura, Organometallics, 27, 4611-4617 (2008).
311. Triazole-Linked Analogue of Deoxyribonucleic Acid (TLDNA): Design, Synthesis, and Double-Strand Formation with Natural DNA, H. Isobe, T. Fujino, N. Yamazaki, M. Guillot-Nieckowski, and E. Nakamura, Org. Lett., 10, 3729-3732 (2008).
310. Synthesis of Metal Fullerene Complexes by the Use of Fullerene Halides, Y. Matsuo, Y. Kuninobu, A. Muramatsu, M. Sawamura, and E. Nakamura, Organometallics, 27, 3403-3409 (2008).
309. Manganese-Catalyzed Benzene Synthesis by [2+2+2] Coupling of 1,3-Dicarbonyl Compound and Terminal Acetylene, H. Tsuji, K. Yamagata, T. Fujimoto, and E. Nakamura, J. Am. Chem. Soc., 130, 7792-7793 (2008).
308. Imaging of Conformational Change of Biotinylated Triamide Molecules Covalently Bonded to Carbon Nanotube Surface, E. Nakamura, M. Koshino, T. Tanaka, Y. Niimi, K. Harano, Y. Nakamura, and H. Isobe, J. Am. Chem. Soc., 130, 7808-7809 (2008).
307. Modular Synthesis of Benzo[b]phosphole Derivatives via BuLi-Mediated Cyclization (o-Alkynylphenyl)phosphine, H. Tsuji, K. Sato, L. Ilies, Y. Itoh, Y. Sato, and E. Nakamura, Org. Lett., 10, 2263-2265 (2008).
306. Iron-Catalyzed Direct Arylation through Directed C-H Bond Activation, J. Norinder, A. Matsumoto, N. Yoshikai, and E. Nakamura, J. Am. Chem. Soc., 130, 5858-5859 (2008).
305. Photocurrent-Generating Properties of Organometallic Fullerene Molecules on an Electrode, Y. Matsuo, K. Kanaizuka, K. Matsuo, Y.-W. Zhong, T. Nakae, and E. Nakamura, J. Am. Chem. Soc., 130, 5016-5017 (2008).
304. Mechanism of the Nucleophilic Substitution of Acyl Electrophiles using Lithium Organocuprates, N. Yoshikai, R. Iida, and E. Nakamura, Adv. Synth. Catal., 350, 1063-1072 (2008) (A. Pfaltz Special Issue).
303. Construction of a Chiral Quaternary Carbon Center by Indium-Catalyzed Asymmetric α-Alkenylation of β-Ketoesters, T. Fujimoto, K. Endo, H. Tsuji, M. Nakamura, and E. Nakamura, J. Am. Chem. Soc., 130, 4492-4496 (2008).
302. Modular Synthesis of Functionalized Benzosiloles by Tin-Mediated Cyclization of (o-Alkynylphenyl)silane, L. Ilies, H. Tsuji, Y. Sato, and E. Nakamura, J. Am. Chem. Soc., 130, 4240-4241 (2008).
301. A Ruthenium Bridge in Fullerene-Ferrocene Arrays: Synthesis of [Ru(C60Me5)R(CO)2] (R = C6H4Fc, C≡CFc) and Their Charge-Transfer Properties, Y. Matsuo, K. Matsuo, T. Nanao, R. Marczak, S. S. Gayathri, D. M. Guldi, and E. Nakamura, Chem. Asian. J., 3, 841-848 (2008).
300. Addition of Tetrahydrofuran to [60]Fullerene through C-H Bond Activation Induced by Arylzinc Reagents, Y. Matsuo, Y. Zhang, and E. Nakamura, Org. Lett., 10, 1251-1254 (2008).
299. Stereoselective Synthesis of Trisubstituted E-Iodoalkenes by Indium-Catalyzed syn-Addition of 1,3-Dicarbonyl Compounds to 1-Iodoalkynes, H. Tsuji, T. Fujimoto, K. Endo, M. Nakamura, and E. Nakamura, Org. Lett., 10, 1219-1221 (2008).
298. Synthesis of C5-Symmetric Functionalized [60]Fullerenes by Copper-Mediated 5-Fold Addition of Reformatsky Reagents, T. Nakae, Y. Matsuo, and E. Nakamura, Org. Lett., 10, 621-623 (2008).
297. A Water-Soluble Fullerene Vesicle Alleviates Angiotensin II Induced Oxidative Stress in Human Umbilical Venous Endothelial Cells, R. Maeda, E. Noiri, H. Isobe, T. Honma, T. Tanaka, K. Negishi, K. Doi, T. Fujita, and E. Nakamura, Hypertens. Res., 31, 141-151 (2008).
296. Regioselective α-Alkylation of Ketones with Alkyl Chlorides and Fluorides via Highly Nucleophilic Magnesium Enamides, T. Hatakeyama, S. Ito, H. Yamane, M. Nakamura, and E. Nakamura, Tetrahedron, 63, 8440-8448 (2007).
295. Reaction Pathway of Conjugate Addition of Lithium Organozincates to s-trans-Enones, M. Uchiyama, S. Nakamura, T. Furuyama, E. Nakamura, and K. Morokuma, J. Am. Chem. Soc., 129, 13360-13361 (2007).
294. Synthesis of Fullerene Glycoconjugates via a Copper-Catalyzed Huisgen Cycloaddition Reaction, H. Isobe, K. Cho, N. Solin, D. B. Wertz, P. H. Seeberger, and E. Nakamura, Org. Lett., 9, 4611-4614 (2007).
293. Synthesis and Properties of 2,3,6,7-Tetraarylbenzo[1,2-b:4,5-b‘]difurans as Hole-Transporting Material, H. Tsuji, C. Mitsui, L. Ilies, Y. Sato and E. Nakamura, J. Am. Chem. Soc., 129, 11902-11903 (2007).
292. Indium-Catalyzed Cycloisomerization of ω-Alkynyl-β-ketoesters into Six- to Fifteen-Membered Rings, H. Tsuji, K. Yamagata, Y. Itoh, K. Endo, M. Nakamura and E. Nakamura, Angew. Chem. Int. Ed., 46, 8060-8062 (2007).
291. Imaging of Aromatic Amide Molecules in Motion, N. Solin, M. Koshino, T. Tanaka, S. Takenaga, H. Kataura, H. Isobe and E. Nakamura, Chem. Lett., 36,1208-1209 (2007).
290. Energetics of Water Permeation through Fullerene Membrane, H. Isobe, T. Homma and E. Nakamura, Proc. Natl. Acad. Sci. USA, 104, 14895-14898 (2007).
289. Hoop-Shaped Condensed Aromatic Systems: Synethsis and Structure of Iron- and Ruthenium-Hepta(organo)[60]fullerene Complexes, Y. Matsuo, T. Fujita and E. Nakamura, Chem. Asian. J, 2, 948-955 (2007).
288. Plugging and Unplugging Holes of Single-Wall Carbon Nanohorns, R. Yuge, M. Yudasaka, J. Miyawaki, Y. Kubo, H. Isobe, H. Yorimitsu, E. Nakamura and S. Iijima, J. Phys. Chem. C, 111, 7348-7351 (2007).
287. New Fluorinated Channel-type Host Compounds, K. Reichenbaecher, A. Neels, H. Stoeckli-Evans, P. Balasubramaniyan, K. Mueller, Y. Matsuo, E. Nakamura, E. Weber, and J. Hulliger, Crystal Growth & Design, 7, 1399-1405 (2007).
286. AlCl3-Mediated Mono-, Di- and Tri-Hydroarylation of [60]fullerene, A. Iwashita, Y. Matsuo and E. Nakamura, Angew. Chem. Int. Ed., 46, 3513-3516 (2007).
285. Synthesis and Catalytic Activity of η1-Allyl and η3-Allyl, Ethyl, and Hydrido Complexes of Ruthenium-Pentamethyl[60]fullerene, Y. Matsuo, T. Uematsu and E. Nakamura, Eur. J. Inorg. Chem., 2729-2733 (2007).
284. Indium-Catalyzed 2-Alkenylation of 1,3-Dicarbonyl Compounds with Unactivated Alkynes, K. Endo, M. Nakamura, and E. Nakamura, J. Am. Chem. Soc., 129, 5264-5271 (2007).
283. Imaging Single Molecules in Motion, M. Koshino, T. Tanaka, N. Solin, K. Suenaga, H. Isobe, and E. Nakamura, Science, 316, 853 (2007) (Originally published in Science Express on 22 February 2007).
282. Lamellar Assembly of Conical Molecules Possessing a Fullerene Apex in Crystals and Liquid Crystals, Y.-W. Zhong, Y. Matsuo, and E. Nakamura, J. Am. Chem. Soc., 129, 3052-3053 (2007).
281. Regioselective Eightfold and Tenfold Additions of Pyridine-modified Organocopper Reagent to [60]Fullerene, Y. Matsuo, K. Tahara, K. Morita, and E. Nakamura, Angew. Chem. Int. Ed., 46, 2844-2847 (2007).
280. Chiral Ruthenium Allenylidene Complexes that Bear a Fullerene Cyclopentadienyl Ligand: Synthesis, Characterization, and Remote Chirality Transfer, Y.-W. Zhong, Y. Matsuo, and E. Nakamura, Chem. Asian. J., 2, 358-366 (2007).
279. Synthesis of Oxy Aminated [60] and [70]Fullerenes with Cumene Hydroperoxide as Oxidant, L. Lemiègre, T. Tanaka, T. Nanao, H. Isobe, and E. Nakamura, Chem. Lett., 36, 20-21 (2007).
278. Synthesis and Bio-imaging of Positron-emitting 15O-Labeled 2-Deoxy-D-glucose of Two-minute Half-life, H. Yorimitsu, Y. Murakami, M. Takamatsu, S. Nishimura, and E. Nakamura, Chem. Asian. J., 2, 57-65 (2007).
277. Synthesis of 6,9,12,15,18-pentamethyl-1,6,9,12,15,18-hexahydro (C60–Ih)[5,6]fullerene, Y. Matsuo, A. Muramatsu, M. Koide, and E. Nakamura, Org. Synth., 83, 80-87 (2006).
276. Aminohydroxyphosphine Ligand for Copper-Catalyzed Enantioselective Conjugate Addition of Organozinc Reagents, A. Hajra, N. Yoshikai, and E. Nakamura, Org. Lett., 8, 4153-4155 (2006).
275. Coupling of Alkylarene and Pentamethyl[60]fullerene by Iridium-Catalyzed Benzylic C-H Bond Activation, Y. Matsuo, A. Iwashita, and E. Nakamura, Chem. Lett., 35, 858-859 (2006).
274. Preparation, Purification, Characterization, and Cytotoxicity Assessment of Water-soluble, Transition-metal-free Carbon Nanotube Aggregates, H. Isobe, T. Tanaka, R. Maeda, E. Noiri, N. Solin, M. Yudasaka, S. Iijima, and E. Nakamura, Angew. Chem. Int. Ed., 45, 6676-6680 (2006).
273. Synthesis, Structural, Electrochemical and Stacking Properties of Conical Molecules Possessing Buckyferrocene on Apex, Y. Matsuo, A. Muramatsu, Y. Kamikawa, T. Kato, and E. Nakamura, J. Am. Chem. Soc., 128, 9586-9587 (2006).
272. 2,3-Disubstituted Benzofuran and Indole by Copper-Mediated C-C Bond Extension Reaction of 3-Zinciobenzoheterole, M. Nakamura, L. Ilies, S. Otsubo, and E. Nakamura, Org. Lett., 8, 2803-2805 (2006).
271. Diels-Alder Reaction of Cyclopentadienone Acetal with Pyrrole and Indole, S. Sato, T. Fujino, H. Isobe, and E. Nakamura, Bull. Chem. Soc. Jpn., 79, 1288-1292 (2006). (“Selected Paper of the Month”)
270. Mechanism of Remote Conjugate Addition of Lithium Organocuprates to Polyconjugated Carbonyl Compounds, N. Yoshikai, T. Yamashita, and E. Nakamura, Chem. Asian J., 1, 322-330 (2006).
269. Gene Delivery by Aminofullerene: Structural Requirements for Efficient Transfection, H. Isobe, W. Nakanishi, N. Tomita, S. Jinno, H. Okayama, and E. Nakamura, Chem. Asian J., 1, 167-175 (2006).
268. Bimetallic Synergism in Alkyne Silylformylation Catalyzed by Cobalt-Rhodium Mixed Metal Cluster, N. Yoshikai, M. Yamanaka, I. Ojima, K. Morokuma, and E. Nakamura, Organometallics, 25, 3867-3875 (2006).
267. Sharing Orbitals: Ultrafast Excited State Deactivation with Different Outcomes in Bucky Ferrocenes and Ruthenocenes , D. M. Guldi, G. M. A. Rahman, R. Marczak, Y. Matsuo, M. Yamanaka, and E. Nakamura, J. Am. Chem. Soc., 128, 9420-9427 (2006).
266. Remote Chirality Transfer within a Coordination Sphere by the Use of a Ligand Possessing a Concave Cavity, Y. Matsuo, Y. Mitani, Y.-W. Zhong, and E. Nakamura, Organometallics, 25, 2826-2832 (2006).
265. Synthesis and Electrochemistry of Double-decker Buckyferrocenes, Y. Matsuo, K. Tahara, and E. Nakamura, J. Am. Chem. Soc., 128, 7154-7155 (2006).
264. Unusual Homo-Coupling in the Reaction of Diorganocuprates with an Allylic Halide, J. Norinder, J.-E. Bäckvall, N. Yoshikai, and E. Nakamura, Organometallics, 25, 2129-2132 (2006).
263. Synthesis of Ultrafine Gd2O3 Nanoparticles inside Single-Wall Carbon Nanohorns, J. Miyawaki, M. Yudasaka, H. Imai, H. Yorimitsu, H. Isobe, E. Nakamura, and S. Iijima, J. Phys. Chem. B, 110, 5179-5181 (2006).
262. Synthesis of Trialkyl[60]fullerene C60(CH2SiMe3)3H and Its Potassium and Rhodium(I) Complexes, Y. Matsuo and E. Nakamura, Inorg. Chim. Acta (Gerard van Koten special issue), 359, 1979-1982 (2006)
261. Convergent Synthesis of Polyfunctionalized Fullerene by Regioselective Five-Fold Addition of a Functionalized Organocopper Reagent to C60, Y.-W. Zhong, Y. Matsuo, and E. Nakamura, Org. Lett., 8, 1463-1466 (2006).
260. In vivo Magnetic Resonance Imaging of Single-Walled Carbon Nanohorns by Labeling with Magnetite Nanoparticles, J. Miyawaki, M. Yudasaka, H. Imai, H. Yorimitsu, H. Isobe, E. Nakamura, and S. Iijima, Adv. Mater., 18, 1010-1014 (2006).
259. Non-viral Gene Delivery by Tetraamino Fullerene, H. Isobe, W. Nakanishi, N. Tomita, S. Jinno, H. Okayama, and E. Nakamura, Mol. Pharm., 3, 124-134 (2006).
258. 3-Zinciobenzofuran and Indole: Versatile Tools for Construction of Conjugated Structures Containing Multiple Benzoheterole Units, M. Nakamura, L. Ilies, S. Otsubo, and E. Nakamura, Angew. Chem. Int. Ed., 45, 944-947 (2006).
257. Synthesis of Hydrophosphorylated Fullerene under Neutral Conditions, H. Isobe, A.-J. Chen, N. Solin, and E. Nakamura, Org. Lett., 7, 5633-5635 (2005).
256. Nickel-catalyzed Cross-coupling Reaction of Aryl Fluorides and Chlorides with Grignard Reagents under Nickel/Magnesium Bimetallic Cooperation, N. Yoshikai, H. Mashima, and E. Nakamura, J. Am. Chem. Soc., 127, 17978-17979 (2005).
255. Organic and Organometallic Derivatives of Dihydrogen-encapsuled [60]Fullerene, Y. Matsuo, H. Isobe, T. Tanaka, Y. Murata, M. Murata, K. Komatsu, and E. Nakamura, J. Am. Chem. Soc., 127, 17148-17149 (2005).
254. Alkylation of Magnesium Enamimde with Alkyl Chlorides and Fluorides, T. Hatakeyama, S. Ito, M. Nakamura, and E. Nakamura, J. Am. Chem. Soc., 127, 14192-14193 (2005).
253. Synthesis of Chiral α-Fluoroketones via Catalytic Enantioselective Decarboxylation, M. Nakamura, A. Hajra, K. Endo, and E. Nakamura, Angew. Chem. Int. Ed., 44, 7248-7251 (2005).
252. Controlling the Incorporation and Release of C60 in Nanometer-Scale Hollow Space inside Single-Wall Carbon Nanohorns, R. Yuge, M. Yudasaka, J. Miyawaki, Y. Kubo, To, Ichihashi, H. Imai, E. Nakamura, H. Isobe, H. Yorimitsu, and S. Iijima, J. Phys. Chem. B, 109, 17861-17867 (2005).
251. Fractal Behavior of Functionalized Fullerene Aggregates I. Aggregation of Two-handed Tetraminofullerene with DNA, Q. Ying, J. Zhang, D. Liang, W. Nakanishi, H. Isobe, E. Nakamura, and B. Chu, Langmuir, 21, 9824-9831 (2005).
250. Three-component Synthesis of Polysubstituted Benzene Derivatives via Diels-Alder Reaction of Cyclopentadienone Acetal with Alkyne, S. Sato, H. Isobe, T. Tanaka, T. Ushijima, and E. Nakamura, Tetrahedron, 61, 11449-11455 (2005). (Multicomponent coupling special issue)
249. Indium Triflate-Catalyzed Vinylation of β-Ketoesters with Acetylene Gas, M. Nakamura, K. Endo, and E. Nakamura, Org. Lett., 7, 3279-3281 (2005).
248. X-ray Crystallographic Characterization of Potassium Pentaphenyl[60]fullerene, Y. Matsuo, K. Tahara, and E. Nakamura, Chem. Lett., 34, 1078-1079 (2005).
247. A Modular Approach to α-Arylated Carbonyl Compounds via In(NTf2)3-Catalyzed Regioselective Addition of β-Ketoesters to 1,3-Diynes, M. Nakamura, K. Endo, and E. Nakamura, Adv. Synth. Catal., 347, 1681-1686 (2005). (Coupling special issue)
246. Synergistic Dimetallic Effects in Propargylic Substitution Reaction Catalyzed by Thiolate-bridged Diruthenium Complex, S. C. Ammal, N. Yoshikai, Y, Inada, Y. Nishibayashi, and E. Nakamura, , J. Am. Chem. Soc., 127, 9428-9438 (2005).
245. Mössbauer Spectroscopy of Bucky Ferrocenes: Lattice Dynamics and Motional Anisotropy of the Metal Atom, R. H. Herber, I. Nowik, Y. Matsuo, M. Toganoh, Y. Kuninobu, and E. Nakamura, Inorg. Chem., 44, 5629-5635 (2005).
244. Iron-Catalyzed Chemoselective Cross-Coupling of Primary and Secondary Alkyl Halides with Arylzinc Reagents. M. Nakamura, S. Ito, K. Matsuo, and E. Nakamura, Synlett, 11, 1794-1798 (2005).
243. Syntheses, Structure, and Derivatization of Potassium Complexes of Penta(organo)[60]fullerene-Monoanion, -Dianion, and -Trianion into Hepta- and Octa(organo)fullerenes. Y. Matsuo and E. Nakamura, J. Am. Chem. Soc., 127, 8457-8466 (2005).
242. Ball-and-Socket Stacking of Supercharged Geodesic Polyarenes: Bonding by Interstitial Lithium Ions, I. Aprahamian, D. Eisenberg, R. E. Hoffman, T. Sternfeld, Y. Matsuo, E. A. Jackson, E. Nakamura, L. T. Scott, T. Sheradsky, and M. Rabinovitz, J. Am. Chem. Soc., 127, 9581-9587 (2005).
241. Mechanism of Remote Conjugate Addition of a Lithium Organocuprate to a Polyconjugated Carbonyl Compound, N. Yoshikai, T. Yamashita, and E. Nakamura, Angew. Chem. Int. Ed., 44, 4721-4723 (2005).
240. Regioselective Oxygenative Tetraamination of [60]Fullerene. Fullerene-mediated Reduction of Molecular Oxygen by Amine via Ground State Single Electron Transfer in Dimethyl Sulfoxide, H. Isobe, T. Tanaka, W. Nakanishi, L. Lemiėgre, and E. Nakamura, J. Org. Chem., 70, 4826-4832 (2005).
239. Ultra-rapid Synthesis and Bio-imaging of 15O-Labeled 2-Deoxy-D-glucose, H. Yorimitsu, Y. Murakami, H. Takamatsu, S. Nishimura, and E. Nakamura, Angew. Chem. Int. Ed., 44, 2708-2711 (2005).
238. Thermodynamic and Kinetic Control in Selective Ligand Transfer in Conjugate Addition of Mixed Organocuprate Me(X)CuLi, M. Yamanaka and E. Nakamura, J. Am. Chem. Soc., 127, 4697-4706 (2005).
237. Reactivity and Stability of Organocopper(I), Silver(I) and Gold(I) Ate Compounds and their Trivalent Derivatives, W. Nakanishi, M. Yamanaka, and E. Nakamura, J. Am. Chem. Soc., 127, 1446-1453 (2005).
236. Supramolecular Modulation of Action of Polyamine on Enzyme/DNA Interactions, H. Isobe, S. Sato, J. W. Lee, H.-J. Kim, K. Kim and E. Nakamura, Chem. Commun., 1549-1551 (2005).
235. Synthesis and Derivatization of Iridium(I)- and Iridium(III)-Pentamethyl[60]Fullerene Complexes, Y. Matsuo, A. Iwashita, and E. Nakamura, Organometallics, 24, 89-95 (2005).
234. Electronic Structure of Stacked C60 Shuttlecocks, S. Okada, R. Arita, Y. Matsuo, E. Nakamura, A. Oshiyama, and H. Aoki, Chem. Phys. Lett., 399, 157-161 (2004).
233. Kinetics of Copper(I)-Catalyzed Dimerization and Hydration of Acetylene in Water, Y. Tokita, A. Okamoto, K. Nishiwaki, M. Kobayashi, and E. Nakamura, Bull. Chem. Soc. Jpn., 77, 1395-1399 (2004).
232. Enantioselective Allylic Substitution of Cinnamyl Esters Catalyzed by Iridium-Chiral Aryl Phosphite Complex: Conspicuous Change in the Mechanistic Spectrum by a Counter Cation and Solvent, N. Kinoshita, K. H. Marx, K. Tanaka, K. Tsubaki, T. Kawabata, N. Yoshikai, E. Nakamura, and K. Fuji, J. Org. Chem., 69, 7960-7964 (2004).
231. Sequential Coupling of Zincated Hydrazone, Alkenylboronate, and Electrophile that Creates Several Contiguous Stereogenic Centers, M. Nakamura, T. Hatakeyama, K. Hara, H. Fukudome, and E. Nakamura, J. Am. Chem. Soc., 126, 14344-14345 (2004).
230. Stereoselective Synthesis of Tetra-Substituted Olefins via Addition of Zinc Enolates to Unactivated Alkynes, M. Nakamura, T. Fujimoto, K. Endo, and E. Nakamura, Org. Lett., 6, 4837-4840 (2004).
229. Thermal and Palladium-Catalyzed [3 + 2] Synthesis of Cyclopentadienone Acetals from Cyclopropenone Acetals and Acetylenes, H. Isobe, S. Sato, T. Tanaka, H. Tokuyama, and E. Nakamura, Org. Lett., 6, 3569-3571 (2004).
228. Photoinduced Change in the Raman Spectrum of Buckyferrocene ((Fe(C60(CH3)5)C5H5 ), T. Shimada, Y. Yamamoto, T. Kaji, K. Itaka, H. Koinuma, Y. Kuninobu, Y. Matsuo, E. Nakamura, and K. Saiki, Solid State Commun., 132, 197-201 (2004).
227. L-shaped Three-center Two-electron (C-C-C)+ Bonding Array, N. Yoshikai, S. C. Ammal, and E. Nakamura, J. Am. Chem. Soc., 126, 12941-12948 (2004).
226. Mechanism of Substitution Reaction on sp2-Carbon Center with Lithium Organocuprate, N. Yoshikai and E. Nakamura, J. Am. Chem. Soc., 126, 12264-12265 (2004).
225. α-Alkylation of Ketones by Addition of Zinc Enamide to Unactivated Olefins, M. Nakamura, T. Hatakeyama, and E. Nakamura, J. Am. Chem. Soc., 126, 11820-11825 (2004).
224. Mechanism and Ligand-transfer Selectivity of 1,2-Addition of Organozincate Complexes to Aldehyde, M. Uchiyama, S. Nakamura, T. Ohwada, M. Nakamura, and E. Nakamura, J. Am. Chem. Soc., 126, 10897-10903 (2004).
223. Creation of Hoop- and Bowl-Shaped Benzenoid Systems by Selective Detraction of [60]Fullerene Conjugation. [10]Cyclophenacene and Fused Corannulene Derivatives, Y. Matsuo, K. Tahara, M. Sawamura, and E. Nakamura, J. Am. Chem. Soc., 126, 8725-8734 (2004).
222. Molecular Orientation and Electronic Structure of Epitaxial Bucky Ferrocene (Fe(C60(CH3)5)C5H5) Thin Films, T. Kaji, T. Shimada, H. Inoue, K. Saiki, Y. Kuninobu, Y. Matsuo, E. Nakamura, and K. Saiki, J. Phys. Chem., 108, 9914-9918 (2004).
221. Zn(II)/Amine-Catalyzed Coupling Reaction of Alkylidenemalonates with Propargyl Alcohol: A One-Pot Synthesis of Methylenetetrahydrofurans, M. Nakamura, C. Liang, and E. Nakamura, Org. Lett., 6, 2015-2017 (2004). (correction: 6, 3017-3017 (2004)).
220. Selective Deposition of a One-atom to a Multi-atom Gadolinium(III) Cluster in a Hole Opening of Single-Wall Carbon Nanohorn, A. Hashimoto, H. Yorimitsu, K. Ajima, K. Suenaga, H. Isobe, J. Miyawaki, M. Yudasaka, S. Iijima, and E. Nakamura,Proc. Natl. Acad. Sci., 101, 8527-8530 (2004). [PDF]
219. Nickel, Palladium and Platinum Complexes of η5-Cyclopentadienide C60R5 Ligands. Kinetic and Thermodynamic Stabilization Effects of C60Ph5 Ligand, Y. Kuninobu, Y. Matsuo, M. Toganoh, M. Sawamura, and E. Nakamura, Organometallics, 23, 3259-3266 (2004).
218. Reaction Pathway and Stereoselectivity of Asymmetric Synthesis of Chrysanthemate with the Aratani C1-Symmetric Salicylaldimine-copper Catalyst, K. Suenobu, M. Itagaki, and E. Nakamura, J. Am. Chem. Soc., 126, 7271-7280 (2004).
217. Mechanism and Regioselectivity of Reductive Elimination of π-Allylcopper (III) Intermediates, M. Yamanaka, S. Kato, and E. Nakamura J. Am. Chem. Soc., 126, 6287-6293 (2004).
216. Multi-layer Vesicles and Vesicle Clusters Formed by Fullerene-based Surfactant C60(CH3)5K, C. Burger, J. Hao, Q. Ying, H. Isobe, M. Sawamura, E. Nakamura, and B. Chu, J. Colloid and Interface Science, 275, 632-641 (2004).
215. Iron-Catalyzed Cross-Coupling of Primary and Secondary Alkyl Halides with Aryl Grignard Reagents, M. Nakamura, K. Matsuo, S. Ito, and E. Nakamura, J. Am. Chem. Soc., 126, 3686-3687 (2004).
214. Synthesis of Functionalized Fullerene by Mono-alkylation of Fullerene Cyclopentadienide, R. Hamasaki, Y. Matsuo and E. Nakamura, Chem. Lett., 33, 328-329 (2004).
213. Mechanism of Addition of Organocuprates to Alkynyl Carbonyl Compounds. Mechanistic Bridge between Carbocupration and Conjugate Addition, S. Mori, E. Nakamura, and K. Morokuma, Organometallics, 23, 1081-1088 (2004).
212. Stacking of Molecules Possessing a Fullerene Apex and a Cup-shaped Cavity Connected by Silicon-Connection, Y. Matsuo, A. Muramatsu, R. Hamasaki, N. Mizoshita, T. Kato, and E. Nakamura, J. Am. Chem. Soc., 126, 432-433 (2004).
211. Synthesis and Reactivities of Bucky Ruthenocene Ru(η5-C60Me5)(η5-C5H5), Y. Matsuo, Y. Kuninobu, S. Ito, and E. Nakamura, Chem. Lett., 33, 328-329 (2004).
210. Doping Effects of Novel Fullerene Derivatives in Conducting Polymer, T. Shirakawa, T. Umeda, Y. Nishihara, A. Fujii, H. Isobe, E. Nakamura and K. Yoshino, Synth. Met., 137, 1415-1416 (2003).
209. Synthesis of Fullerene Glycoconjugates through Sulfide Connection in Aqueous Media, H. Isobe, H. Mashima, H. Yorimitsu, and E. Nakamura, Org. Lett., 5, 4461-4463 (2003).
208. Synthesis of Ferrocene/hydrofullerene Hybrid and Functionalized Bucky Ferrocenes, M. Toganoh, Y. Matsuo, and E. Nakamura, J. Am. Chem. Soc., 125, 13974 – 13975 (2003).
207. Indium-catalyzed Addition of Active Methylene Compounds to 1-Alkynes M. Nakamura, K. Endo, and E. Nakamura, J. Am. Chem. Soc., 125, 13002-13003 (2003).
206. Theoretical Studies on Structures and Aromaticity of Finite-Length Armchair Carbon Nanotubes, Y. Matsuo, K. Tahara, and E. Nakamura, Org. Lett., 5, 3181-3184 (2003).
205. Synthesis and [3 + 2] Cycloaddition of 2,2-Dialkoxy-1-methylenecyclopropane: 6,6-Dimethyl-1-methylene-4,8-dioxaspiro[2.5]octane, M. Nakamura, X. Q. Wang, M. Isaka, S. Yamago, and E. Nakamura, Org. Synth., 80, 144-159 (2003).
204. Theoretical Studies on Diastereo- and Enantioselective Rhodium-catalyzed Cyclization of Diazo Compound via Intramolecular C-H Bond Insertion (“Activation of Unactivated Bonds” special issue), N. Yoshikai and E. Nakamura, Adv. Synth. Catal., 345, 1159-1171 (2003).
203. Rhenium-templated Regioselective Polyhydrogenation of [60]Fullerene and Derivatives. η5-Re(CO)3 Complexes of Hydrofullerenes, M. Toganoh, Y. Matsuo, and E. Nakamura, Angew. Chem. Int. Ed., 42, 3530-3532 (2003). (“Very Important Paper of the Journal”)
202. Theoretical Studies on Structures and Reactivities of Organocuprate(I) and Organocopper(III) Species, M. Yamanaka, A. Inagaki, and E. Nakamura, J. Comput. Chem., 24, 1401-1409 (2003).
201. Regioselective Synthesis of [60]Fullerene η5-Indenide R3C60– and η5-Cyclopentadienide R5C60– Bearing Different R Groups, M. Toganoh, K. Suzuki, R. Udagawa, A. Hirai, M. Sawamura, and E. Nakamura, Org. Biomol. Chem., 1, 2604-2611 (2003).
200. Synthesis and Catalytic Activity of Rhodium Diene Complexes Bearing Indenyl-Type Fullerene η5-Ligand, M. Toganoh, Y. Matsuo, and E. Nakamura, J. Organomet. Chem. (Carbon-rich Organometallic special issue), 683, 295-300 (2003).
199. Enantioselective Synthesis of α-Substituted Ketones by Asymmetric Addition of Chiral Zinc Enamides to 1-Alkenes, M. Nakamura, T. Hatakeyama, K. Hara, and E. Nakamura, J. Am. Chem. Soc., 125, 6362-6363 (2003).
198. Synthesis, Structure and Aromaticity of a Hoop-shaped Cyclic Benzenoid [10]Cyclophenacene, E. Nakamura, K. Tahara, Y. Matsuo, and M. Sawamura, J. Am. Chem. Soc., 125, 2834-2835 (2003). (Essay by Roald Hoffmann: Roald Hoffmann, International Journal of Philosophy in Chemistry, 9, 7-10 (2003))
197. Ruthenium (II) Complexes of Pentamethylated [60]Fullerene. Alkyl, Alkynyl, Chloro, Isocyanide, Phosphine Complexes, Y. Matsuo and E. Nakamura, Organometallics, 22, 2554-2563 (2003).
196. Iron-Catalyzed Regio- and Stereoselective Ring Opening of [2.2.1] and [3.2.1] Oxabicyclic Alkenes with Grignard Reagent, M. Nakamura, K. Matsuo, T. Inoue, and E Nakamura, Org. Lett., 5, 1373-1375 (2003).
195. Reaction Pathways of the Simmons-Smith Reaction, M. Nakamura, A. Hirai and E. Nakamura, J. Am. Chem. Soc., 125, 2341-2350 (2003).
194. Stacking of Conical Molecules with a Fullerene Apex into Polar Columns in Crystals and Liquid Crystals, M. Sawamura, K. Kawai, Y. Matsuo, K. Kanie, T. Kato, and E. Nakamura, Nature, 419, 702-705 (2002). [PDF]
(Reviewed in the News and Views section by Carlsten Tschierke, Nature, 419, 681-682 (2002)).
193. Density Functional Studies on Kinetic Reactivity of “Higher Order” Lipshutz Cuprate in Addition Reaction to Acetylene, M. Yamanaka, S. Mori and E. Nakamura, Bull. Chem. Soc. Jpn., 75, 1815-1818 (2002).
192. Hybrid of Ferrocene and Fullerene, M. Sawamura, Y. Kuninobu, M. Toganoh, Y. Matsuo, M. Yamanaka, and E. Nakamura, J. Am. Chem. Soc., 124, 9354-9355 (2002).
191. Cu(I)-Mediated Regioselective Tri-addition of Grignard Reagent to [70]Fullerene. Synthesis of Indenyl-type Metal Ligand Embedded into Graphitic Structure, M. Sawamra, M. Toganoh, H. Iikura, Y. Matsuo, A. Hirai, and E. Nakamura, J. Mater. Chem. (Fullerene issue), 12, 2109-2115 (2002).
190. Mechanism of C-H Bond Activation/C-C Bond Formation Reaction between Diazo Compound and Alkane Catalyzed by Dirhodium Tetracarboxylate, E. Nakamura, N. Yoshikai, and M. Yamanaka, J. Am. Chem. Soc., 124, 7181-7192 (2002).
189. Synthesis of Disubstituted Cucurbit[6]uril and Its Rotaxane Derivative, H. Isobe, S. Satoh, and E. Nakamura, Org. Lett., 4, 1287-1289 (2002).
188. Carbozincation of Dipolar Trimethylenemethane. A New Route to Functionalized Organozinc Reagents, M. Nakamura, N. Yoshikai, and E. Nakamura, Chem. Lett., (Mukaiyama Special Issue), 146-147 (2002).
187. Regioselective Penta-addition of 1-Alkenyl Copper Reagent to [60]Fullerene. Synthesis of Penta-alkenyl FCp Ligand, M. Sawamura, N. Nagahama, M. Toganoh, E. Nakamura, J. Organomet. Chem. (JOM Symposium Issue), 652, 31-35 (2002).
186. Doping Effects of Tetra(amino)fullerene Epoxide in Conducting Polymer Thin Film, A. Fujii, T, Umeda, H. Isobe, E. Nakamura, and K. Yoshino, Jpn. J. Appl. Phys., 40, L1390-L1393 (2001).
185. Synthesis and Transfection Capability of Multi-functionalized Fullerene Polyamine, H. Isobe, N. Tomita, S. Jinno, H. Okayama, and E. Nakamura, Chem. Lett., 1214-1215 (2001).
184. Theoretical Studies on Solvent and Substituent Effects of Cuprate Conjugate Addition, M. Yamanaka, and E. Nakamura, Organometallics, 20, 5675-5681 (2001).
183. Regioselective Allylzincation of Alkenylboronate, M. Nakamura, K. Hara, T. Hatakeyama, and E. Nakamura, Org. Lett., 3, 3137-3140 (2001).
182. Atomic Force Microscope Studies on Condensation of Plasmid DNA with Functionalized Fullerene, H. Isobe, S. Sugiyama, K. -i. Fukui, Y. Iwasawa, and E. Nakamura, Angew. Chem. Int. Ed., 40, 3364-3367 (2001).
181. 2+2-Cycloaddition Reaction of Styrene Derivatives Using a Fe(III) Salt Catalyst, H. Ohara, T. Itoh, M. Nakamura, and E. Nakamura, Chem. Lett., 624-625 (2001).
180. [3 + 3] Cycloaddition Reaction of Dipolar Trimethylenemethane with Active Methylene Compound, M. Nakamura, N. Yoshikai, M. Toganoh, and E. Nakamura, Synlett (Noyori Special Issue), 1030-1033 (2001).
179. Spherical Bilayer Vesicles of Fullerene Based Surfactants in Water: A Laser Light Scattering Study, S. Zhou, C. Burger, B. Chu, M. Sawamura, N. Nagahama, M. Toganoh, U. E. Hackler, H. Isobe, and E. Nakamura, Science, 291, 1944-1947 (2001).
178. Kinetic Reactivity of “Higher Order Cuprate” in SN2 Alkylation Reaction, E. Nakamura, M. Yamanaka, N. Yoshikai, and S. Mori, Angew. Chem. Int. Ed., 40, 1935-1938 (2001).
177. Density Functional Studies on the Pauson-Khand Reaction, M. Yamanaka and E. Nakamura, J. Am. Chem. Soc., 123, 1703-1708 (2001).
176. Epitaxial Growth and Electronic Structure of a C60 Derivative Prepared by Solution Spray Technique, T. Shimada, H. Nakatani, K. Ueno, A. Koma, Y. Kuninobu, M. Sawamura, and E. Nakamura, J. Appl. Phys., 90, 209-212 (2001).
175. Synthesis of Substituted Cyclopropanone Acetal by Carbometalation and its Oxidative Cleavage with Manganese(IV) Oxide and Lead(IV) Oxide, M. Nakamura, T. Inoue, and E. Nakamura, J. Organomet. Chem. (J.-F. Normant issue), 624, 300-306 (2000).
174. Half-Sandwich Metallocene Embedded in Spherically Extended π-Conjugate System. Synthesis, Structure, and Electrochemistry of Rh(η5-C60Me5)(CO)2, M. Sawamura, Y. Kuninobu, and E. Nakamura, J. Am. Chem. Soc., 122, 12407-12408 (2000).
173. One-Step Multiple-Addition of Amine to [60]Fullerene. Synthesis of Tetra(amino)fullerene Epoxide under Photochemical Aerobic Conditions, H. Isobe, N. Tomita, and E. Nakamura, Org. Lett., 2, 3663-3666 (2000).
172. Mechanism of Addition of Allylmetal to Vinylmetal. Dichotomy between Allylmetalation and Metalla-Claisen Rearrangement, A. Hirai, M. Nakamura, and E. Nakamura, J. Am. Chem. Soc., 122, 11791-11798 (2000).
171. Pentaorgano[60]fullerene R5C60–. A Water Soluble Hydrocarbon Anion, M. Sawamura, N. Nagahama, M. Toganoh, U. E. Hackler, H. Isobe, E. Nakamura, S.-Q. Zhou, and B. Chu, Chem. Lett., 1098-1099 (2000).
170. Ternary Complexes between DNA, Polyamine and Cucurbituril, A Modular Approach to DNA Binding Molecules, H. Isobe, N. Tomita, J. W. Lee, H. -J. Kim, K. Kim, and E. Nakamura, Angew. Chem. Int. Ed., 39, 4257-4259 (2000).
169. Functionalized Fullerene as a New Artificial Vector for Transfection, E. Nakamura,H. Isobe, N. Tomita, M. Sawamura, S. Jinno, and H. Okayama, Angew. Chem. Int. Ed., 39, 4254-4257 (2000).
168. Asymmetric Construction of Quaternary Carbon Centers by Regio- and Enantiocontrolled Allylzincation, M. Nakamura, T. Inoue, A. Sato, and E. Nakamura, Org. Lett., 2, 2193-2196 (2000).
167. Stepwise Synthesis of Fullerene Cyclopentadienide R5C60– and Indenide R3C60–. An Approach to Fully Unsymmetrically Substituted Derivatives, M. Sawamura, M. Toganoh, K. Suzuki, A. Hirai, H. Iikura, and E. Nakamura, Org. Lett., 2, 1919-1921 (2000).
166. Intramolecular [3 + 2] Cycloaddition Reaction of Dipolar Trimethylenemethane, M. Nakamura, M. Toganoh, X. Q. Wang, S. Yamago, and E. Nakamura, Chem. Lett., 664-665 (2000).
165. Mechanism of SN2 Alkylation Reactions of Lithium Organocuprate Clusters with Alkyl Halides and Epoxides. Solvent Effects, BF3 Effects, and Trans-diaxial Epoxide Opening, S. Mori, E. Nakamura, and K. Morokuma, J. Am. Chem. Soc., 122, 7294-7307 (2000).
164. Correlation of Reactivities of Organocuprate(I) and Zincate(II) with d-Orbital Energies of Ate Complexes, S. Mori, A. Hirai, M. Nakamura, and E. Nakamura, Tetrahedron, Symposium in Print, 56, 2805-2809 (2000).
163. Synthesis of Pentamethyl-monohydro[60]fullerene C60Me5H and Its Use as Cyclopentadienyl-type Ligand Precursor, M. Sawamura, M. Toganoh, Y. Kuninobu, S. Kato, and E. Nakamura, Chem. Lett., 270-271 (2000).
162. A Cage with Fullerene End Caps, H. Isobe, A. Ohbayashi, M. Sawamura, and E. Nakamura, J. Am. Chem. Soc., 122, 2669-2670 (2000).
161. Complexation of Lewis Acid on Trialkylcopper(III) Species. On the Origin of BF3 Effects on Cuprate Conjugate Addition, E. Nakamura, M. Yamanaka, and S. Mori, J. Am. Chem. Soc., 122, 1826-1827 (2000).
160. Iron-Catalyzed Olefin Carbometalation, M. Nakamura, A. Hirai, and E. Nakamura, J. Am. Chem. Soc., 122, 978-979 (2000).
159. Single-Step Synthesis of Pentaaryl-monohydro[60]fullerenes through Five-Fold Addition of Organocopper Reagent to C60, M. Sawamura, H. Iikura, T. Ohama, U. E. Hackler, and E. Nakamura, J. Organomet. Chem., 599/1, 32-36 (2000).
158. Fe(III)-Catalyzed Radical Cyclization of Cyclopropanone Thiocetal, H. Ohara, K. Kudo, T. Itoh, M. Nakamura, and E. Nakamura, Heterocycles (Mukaiyama Special Issue), 52, 505-510 (2000).
157. One-Pot Synthesis of Pyrroles through Carbometalation Reaction of Zincated Hydrazone with Vinylstannane, M. Nakamura, K. Hara, G. Sakata, and E. Nakamura, Org. Lett., 1, 1505-1507 (1999).
156. [3 + 2] Cycloaddition of Allylic Silane with N-Chloro-sulfonyl Isocyanate, M. Isaka, P. G. Williard, and E. Nakamura, Bull. Chem. Soc. Jpn., 72, 2115-2116 (1999).
155. Macrocarbocycle Synthesis by Copper- and Silver-mediated Cyclization of Tethered Cyclopropenone Acetals. Electronic Tuning of Metal Vinylcarbene Complex into Vinylmetallic Species, Y. Yu, M. Yamanaka, and E. Nakamura, Org. Lett., 1, 407−410 (1999).
154. Ligand Transfer Selectivity in Conjugate Addition of Mixed Organocuprate Bearing a Dummy Ligand, E. Nakamura and M. Yamanaka, J. Am. Chem. Soc., 121, 8941-8942 (1999).
153. Density Functional Studies on Gaudemar/Normant Coupling between Allylzinc and Vinyl Grignard Reagent, A. Hirai, M. Nakamura, and E. Nakamura, J. Am. Chem. Soc., 121, 8665-8666 (1999).
152. Thermal Hetero [3 + 2] Cycloaddition of Dipolar Trimethylenemethane to N-Sulfonyl and N-Acyl Imines. Synthesis of γ-Amino Acid Derivatives, S. Yamago, M. Yanagawa, and E. Nakamura, Chem. Lett., 879-880 (1999).
151. Cycloaddition Reactions of Trimethylenemethane Radical Cation Generated from Methylenecyclopropanone Thioacetal, M. Nakamura, M. Toganoh, H. Ohara, and E. Nakamura, Org. Lett., 1, 7-10 (1999).
150. Correlation of Coordination Geometry of Copper Atom to Reactivities of Organocuprate. Molecular Orbital Analysis of Dimethylcuprate Anion, S. Mori and E. Nakamura, Tetrahedron Lett., 40, 5319-5322 (1999).
149. Optical Resolution of Chirally Functionalized [60]Fullerene through Formation of Diastereomeric Methoxyphenylacetic Acid Esters, H. Isobe, M. Sawamura, and E. Nakamura, Fullerene Sci. Technol., 7, 519-528 (1999).
148. Density Functional Studies on Conjugate Addition of (Me2CuLi)2 to Cyclohexenone, S. Mori and E. Nakamura, Chem. Eur. J., 5, 1534-1543 (1999).
147. Theoretical Studies on π-Complex Formation of Organocopper Compounds with Acetylene, S. Mori, and E. Nakamura, J. Mol. Struct. (Theochem, Morokuma Special Issue), 461-462, 167-175 (1999).
146. Synthesis and Cysteine Proteinase Inhibitory Activity of Novel Cyclopropenone Derivatives, R. Ando, T. Sakaki, Y. Morinaka, C. Takahashi, Y. Tamao, N. Yoshii, S. Katayama, K. Saito, H. Tokuyama, M. Isaka, and E. Nakamura, Bioorg. Med. Chem., Symposia-in-Print, 7, 571-579 (1999).
145. Olefin Carbometalation with (Alkoxy)allylic Lithium and Zinc Reagents. Four-centered vs. Six-centered Mechanism of Allylmetalation Reaction, K. Kubota, S. Mori, M. Nakamura, and E. Nakamura, J. Am. Chem. Soc., 120, 13334-13341 (1998).
144. Theoretical Studies on Cyclopropanation Reaction with Lithium and Zinc Carbenoids, A. Hirai, M. Nakamura, and E. Nakamura, Chem. Lett., 927-928 (1998).
143. Synthesis of π-Indenyl-type Fullerene Ligand and Its Metal Complexes via Quantitative Trisarylation of C70, M. Sawamura, H. Iikura, A. Hirai, and E. Nakamura, J. Am. Chem. Soc., 120, 8285-8286 (1998).
142. Theoretical Studies on SN2-Reaction of MeBr with Me2CuLi•LiCl Cluster. Solvent and Cluster Effects on the Oxidative Addition/Reductive Elimination Pathway, E. Nakamura, S. Mori and K. Morokuma, J. Am. Chem. Soc., 120, 8273-8274 (1998).
141. Asymmetric Addition of Allylzinc Reagent to Alkynyl Ketones, M. Nakamura, A Hirai, M. Sogi, and E. Nakamura, J. Am. Chem. Soc., 120, 5846-5847 (1998).
140. Theoretical Studies on Lewis Acid Acceleration in Simmons-Smith Reaction, E. Nakamura, A. Hirai, and M. Nakamura, J. Am. Chem. Soc., 120, 5844-5845 (1998).
139. Thermal Hetero [3 + 2] Cycloaddition of Dipolar Trimethylenemethane to O-Alkyloximes. Straightforward Synthetic Route to Substituted Pyrrolidines and Prolines, S. Yamago, M. Nakamura X. Q. Wang, M. Yanagawa, S. Tokumitsu, and E. Nakamura, J. Org. Chem., 63, 1694-1703 (1998).
138. The Olefinic Aldol Reaction. Intramolecular Cyclization Forming Five- and Six-membered Rings, E. Nakamura, G. Sakata, and K. Kubota, Tetrahedron Lett., 39, 2157-2158 (1998).
137. SN2 Substitution on sp2 Nitrogen of Protonated Oxime, S. Mori, K. Uchiyama, U. Hayashi, K. Narasaka, and E. Nakamura, Chem. Lett., 111-112 (1998).
136. Open Dimer Participation in Chelation Controlled Addition of Methyllithium Dimer to α- and β-Alkoxy Aldehydes, S. Mori, B. H. Kim, M. Nakamura, and E. Nakamura, Chem. Lett., 1079-1080 (1997).
135. The Olefinic Aldol Reaction. Addition of Zincated Hydrazone to Vinylsilane E. Nakamura and K. Kubota, Tetrahedron Lett., 38, 7099-7102 (1997).
134. Addition of Aza-enolate to Simple Unactivated Olefin, K. Kubota and E. Nakamura, Angew. Chem. Int. Ed. Engl., 36, 2491-2493 (1997).
133. Endohedral Homo-conjugation in Cyclopentadiene Embedded in C60, H. Iikura, S. Mori, M. Sawamura, and E. Nakamura, J. Org. Chem., 62, 7912-7913 (1997).
132. Sonochemical, Aerobic Conversion of Alkyl Halides into Alcohols Promoted by Trialkyltin Halide/NaBH3CN Catalytic System, M. Sawamura, Y. Kawaguchi, K. Sato, and E. Nakamura, Chem. Lett., 705-706 (1997).
131. Synthetic and Computational Studies on Symmetry-Defined Double Cycloaddition of A New Tris-Annulating Reagent to C60, H. Isobe, H. Tokuyama, M. Sawamura, and E. Nakamura, J. Org. Chem., 62, 5034-5041 (1997).
130. Addition of Zincated Hydrazone with Vinyl Grignard Reagent. Ketone Synthesis by Four-Component Coupling, E. Nakamura, K. Kubota, and G. Sakata, J. Am. Chem. Soc., 119, 5457-5458 (1997).
129. Reaction Pathway of Conjugate Addition of Lithium Organocuprate Clusters to Acrolein, E. Nakamura, S. Mori, and K. Morokuma, J. Am. Chem. Soc., 119, 4900-4910 (1997).
128. Theoretical Studies on the Addition of Polymetallic Lithium Organocuprate Clusters to Acetylene. Cooperative Effects of Metals in A Trap-and-Bite Reaction Pathway, E. Nakamura, S. Mori, M. Nakamura, and K. Morokuma, J. Am. Chem. Soc., 119, 4887-4899 (1997).
127. Conversion of Alkyl Halides into Alcohols Using a Near Stoichiometric Amount of Molecular Oxygen: An Efficient Route to 18O- and 17O-Labeled Alcohols, M. Sawamura, Y. Kawaguchi, and E. Nakamura, Synlett, 801-802 (1997).
126. Carbometalation of Cyclopropene. Diastereoselective cis-Addition of Zincated Amides, Esters and Hydrazones, E. Nakamura and K. Kubota, J. Org. Chem., 62, 792-793 (1997).
125. Unusually Stable Organomercury Hydrides and Radicals, E. Nakamura, Y. Yu, S. Mori, and S. Yamago, Angew. Chem. Int. Ed. Engl., 36, 374-376 (1997).
124. The First Pentahapto Fullerene Metal Complexes, M. Sawamura, H. Iikura, and E. Nakamura, J. Am. Chem. Soc., 118, 12850-12851 (1996).
123. Double Hydroxylation Reaction for Construction of the Corticoid Side Chain: 16a-Methylcortexolone (pregn-4-ene-3,20-dione, 17,21-dihydroxy-16-methyl-, (16a)-(±)-), Y. Horiguchi, E. Nakamura, and I. Kuwajima, Org. Synth., 73, 123-133 (1996).
122. Synthesis of Dimethyleneketene Acetals and Their [2 + 2] Cycloaddition to Olefins and [60]Fullerene as Cyclopropanecarboxylate Synthons. S. Yamago, A. Takeichi, and E. Nakamura, Synthesis, 1380-1388 (1996).
121. Allylzincation of Z-Aldimines. Enantioselective Allylzincation of Z-Aldimines in the Presence of Anionic Bis-oxazoline. M. Nakamura, A. Hirai, and E. Nakamura, J. Am. Chem. Soc., 118, 8489-8490 (1996).
120. Biological Activity of Water-Soluble Fullerenes. Structural Dependence of DNA Cleavage, Cytotoxicity and Enzyme Inhibitory Activities, E. Nakamura, H. Tokuyama, S. Yamago, T. Shiraki,and Y. Sugiura, Bull. Soc. Chem. Jpn., 69, 2143-2151 (1996).
119. Regio- and Diastereo-Controlled Double Cycloaddition to [60]Fullerene : One Step Synthesis of CS and C2 Chiral Organofullerenes with New Tris-Annulating Reagents, E. Nakamura, H. Isobe, H. Tokuyama, and M. Sawamura, Chem. Commun., 1747-1748 (1996).
118. Structure of Fullerene Anchored by Five-Membered Ring, H. Amano, H. Uekusa, Y. Ohashi, H. Tokuyama, and E. Nakamura, Mol. Cryst. Liq. Cryst., 276, 291-294 (1996).
117. Cycloaddition of Dipolar Trimethylenemethane to C70 Promoted by a Trace Amount of Water, S. Yamago and E. Nakamura, Chem. Lett., 395-396 (1996).
116. Photocytotoxicity of Water-soluble Fullerene Derivatives. K. Irie, Y. Nakamura, H. Ohigashi, H. Tokuyama, S. Yamago, and E. Nakamura,Biosci. Biotech. Biochem., 60, 1359-1361 (1996).
115. Tertiary Phosphines, P-Chiral Phosphinites and Phosphonic Acid Esters Bearing Fullerene Substituent. Metal Complexes and Redox Properties, S. Yamago, M. Yanagawa, H. Mukai, and E. Nakamura, Tetrahedron, 52, 5091-5102 (1996).
114. Sonochemical and Triethylborane-Induced Tin Deuteride Reduction for the Highly Diastereoselective Synthesis of (2’R)-2′-Deoxy[2′-2H]ribonucleoisde Derivatives, E. Kawashima, Y. Aoyama, T. Sekine, M. Miyahara, M. F. Radwan, E. Nakamura, M. Kainosho, Y. Kyogoku, and Y. Ishido, J. Org. Chem., 60, 6980-6986 (1995).
113. cis- and trans-Dimethyl Spiro[(4′,4′-dimethyl-2′,6′-dioxacyclohexane)-1’3-(4-methylenebicyclo[3.3.0]octane)]-2,2-dicarboxylate, T. Yamada, H. Uekusa, Y. Ohashi, S. Yamago, X. Q. Wang, and E. Nakamura, Acta Cryst., C51, 1137-1139 (1995).
112. A Concise Synthetic Route to Cyclopentenes by [3 + 2] Cycloaddition of Dipolar Trimethylenemethane to Acetylenes, S. Yamago, S. Ejiri and E. Nakamura, Angew. Chem. Int. Ed. Engl., 34, 2154-2156 (1995).
111. In vivo Biological Behavior of Water-Miscible Fullerenes. 14C-Labeling, Absorption, Distribution, Excretion and Acute Toxicity, S. Yamago,H. Tokuyama, E. Nakamura, K. Kikuchi, S. Kananishi, K. Sueki,H. Nakahara, S. Enomoto, and F. Ambe, Chem. Biol., 2, 385-389 (1995).
110. Carbometalation of Cyclopropenes. Stereoselective Synthsis of Divinylketones via 1,5-Hydrogen Migration of Vinylcyclopropanes, K. Kubota, M. Isaka, and E. Nakamura, Heterocycles, 42, 565-575 (1996).
109. Sonochemical Synthesis of Alkyl Hydroperoxide by Aerobic Reductive Oxygenation of Alkyl Halide, E. Nakamura, K. -i. Sato, and Y. Imanishi, Synlett, 525-526 (1995).
108. Synthesis of Cyclopropenone-Containing Enzyme Inhibitor. Addition of Cyclopropenyl Cerium Reagent to α-Amino Aldehyde, H. Tokuyama, M. Isaka, and E. Nakamura, Synth. Commun., 25, 2005-2012 (1995).
107. Theoretical Studies on Chelation Controlled Carbonyl Addition. Me2Mg Addition to α and β-Alkoxy Ketones and Aldehydes, S. Mori, M. Nakamura, E. Nakamura, N. Koga, and K. Morokuma, J. Am. Chem. Soc., 117, 5055-5065 (1995).
106. Langmuir-Blodgett Film of Amphiphilic C60 Carboxylic Acid. M. Matsumoto, H. Tachibana, R. Azumi, M. Tanaka, T. Nakamura, G. Yunome, M. Abe, S. Yamago, and E. Nakamura, Langmuir, 11, 660-665 (1995).
105. Methano- and Propanofullerenes by [1 + 2] and [3 + 2] Cycloadditions of Vinylcarbene Species, H. Tokuyama, H. Isobe, and E. Nakamura, Bull. Chem. Soc. Jpn., 68, 935-941 (1995).
104. Carbometalation of Cyclopropene. Ligand-Induced Enantioselective Allylzincation, M. Nakamura, M. Arai, and E. Nakamura, J. Am. Chem. Soc., 117, 1179-1180 (1995).
103. Photo Addition of Silyl Ketene Acetal to Fullerene. Synthesis of α-Fullerene-Substituted Carboxylic Esters, H. Tokuyama, H. Isobe, and E. Nakamura, J. Chem. Soc., Chem. Commun., 2753-2754 (1994).
102. Sonochemical Initiation of Radical Chain Reactions. Hydrostannation and Hydroxystannation of C-C Multiple Bonds, E. Nakamura, Y. Imanishi, and D. Machii, J. Org. Chem., 59, 8178-8179 (1994).
101. Fullerene-Oligonucleotide Conjugates. Photoinduced Sequence-Specific DNA Cleavage, A. S. Boutorine, H. Tokuyama, M. Takasugi, H. Isobe, E. Nakamura, and C. Hėlėne, Angew. Chem. Int. Ed. Engl., 33, 2462-2465 (1994).
100. Theoretical Studies of Nucleophilic Additions of Monomeric and Dimeric Organometallics, M. Nakamura, E. Nakamura, N. Koga, and K. Morokuma, J. Chem. Soc., Faraday Trans., 29, 1789-1798 (1994).
99. Hydrostannation of Cyclopropene. Strain-Driven Radical Addition Reaction, S. Yamago, S. Ejiri, and E. Nakamura, Chem. Lett., 1889-1892 (1994).
98. Tertiary Phosphines and P-Chiral Phosphinites Bearing Fullerene Substituent, S. Yamago, M. Yanagawa, and E. Nakamura, J. Chem. Soc., Chem. Commun., 2093-2094 (1994).
97. Structure of (22R)-22-Methylchola-4,23-dien-3b-ol tert-Butyldimethylsilyl Ether, A. Uchida, Y. Ohashi, M. Arai, and E. Nakamura, Acta Cryst., C50, 259-260 (1994).
96. Synthetic Chemistry with Fullerenes. Photooxygenation of Olefins, H. Tokuyama and E. Nakamura, J. Org. Chem., 59, 1135-1138 (1994).
95. Synthesis and [2 + 2] Cycloaddition of Dimethyleneketene Acetals. Reaction with C60 and Facile Hydrolysis of the C=C Bond Connected to C60, S. Yamago, A. Takeichi, and E. Nakamura, J. Am. Chem. Soc., 116, 1123-1124 (1994).
94. Theoretical Studies on the Reaction of Solvated Methyllithium Open Dimer with Aldehyde, M. Nakamura, E. Nakamura, N. Koga, and K. Morokuma, J. Am. Chem. Soc., 115, 11016-11017 (1993).
93. Chemical Derivatization of Organofullerenes through Oxidation, Reduction, C-O and C-C Bond Forming Reactions. S. Yamago, H. Tokuyama, E. Nakamura, M. Plato, and F. Wudl, J. Org. Chem., 58, 4796-4798 (1993).
92. Regioselective Generation and Stereoselective [1 + 2] Cycloaddition of Substituted Vinylcarbenes, H. Tokuyama, T. Yamada, and E. Nakamura, Synlett, 589-591 (1993).
91. 1,2-Asymmetric Induction in the SN2′-Allylation of Organocopper and Organozinc Reagents, M. Arai, T. Kawasuji, and E. Nakamura, J. Org. Chem., 58, 5121-5129 (1993).
90. [1 + 2] and [3 + 2] Cycloaddition Reactions of Vinylcarbenes with C60, H. Tokuyama, M. Nakamura, and E. Nakamura, Tetrahedron Lett., 34, 7429-7432 (1993).
89. Photo-induced Biochemical Activity of Fullerene Carboxylic Acid, H. Tokuyama, S. Yamago, E. Nakamura, T. Shiraki, and Y. Sugiura, J. Am. Chem. Soc., 115, 7918-7919 (1993).
88. Ligand Control in the Stereoselective Allylzincation of Cyclopropenes, K. Kubota, M. Nakamura, M. Isaka, and E. Nakamura, J. Am. Chem. Soc., 115, 5867-5868 (1993).
87. A Single Electron Transfer Pathway in the [3 + 2] Cycloaddition of Dipolar Trimethylenemethane with Olefins, S. Yamago, S. Ejiri, M. Nakamura, and E. Nakamura, J. Am. Chem. Soc., 115, 5344-5345 (1993).
86. Acyclic Stereocontrol in Fischer Carbene Chemistry by syn-Selective Michael Addition/Trapping Sequence, E.Nakamura, K. Tanaka,T. Fujimura, S. Aoki, and P. G. Williard, J. Am. Chem. Soc., 115, 9015-9020 (1993).
85. SN2′-Regio- and Diastereoselective Allylation of Organozinc Reagents, M. Arai, T. Kawasuji, and E. Nakamura, Chem. Lett., 357-360 (1993).
84. A New Class of Proteinase Inhibitor. Cyclopropenone-Containing Inhibitor of Papain, R. Ando, Y. Morinaka, H. Tokuyama, M. Isaka, and E. Nakamura, J. Am. Chem. Soc., 115, 1174-1175 (1993).
83. Sonochemical and Triethylborane-induced Tin Deuteride Reduction for the Highly Stereoselective Synthesis of (2’R)-[2′-2H]-2′-Deoxyribonucleosides from 2′-Functionalized Ribonucleosides, E. Kawashima, Y. Aoyama, T. Sekine, E. Nakamura, M. Kainosho, Y. Kyogoku, and Y. Ishido, Tetrahedron Lett., 34, 1317-1320 (1993).
81. [3 + 2] and [4 + 2] Cycloadditions of C60, T. Suzuki, H. Foroudian, Q. Li, K. Khemani, F. Wudl, J. Leonetti, R. D. Little, T. White, B. Rickborn, S. Yamago, and E. Nakamura, J. Am. Chem. Soc., 115, 1594-1595 (1993).
82. Theoretical Studies on Carbometalation of Cyclopropene. Transition Structures of Addition of Me–, MeLi, MeCu, and MeCu2–, and Origin of High Reactivity of Strained Double Bond, E. Nakamura, M. Nakamura, Y. Miyachi, N. Koga, and K. Morokuma, J. Am. Chem. Soc., 115, 99-106 (1993).
80. 1,2-Asymmetric Induction in the Sn-H Bond Insertion Reaction of Aliphatic Fischer Carbene Complex, E. Nakamura, K. Tanaka, and S. Aoki, J. Am. Chem. Soc., 114, 9715-9716 (1992).
79. Regio- and endo-Stereoselective [3 + 2] Cycloaddition of Trimethylenemethane to Electron-Deficient Olefin, S. Ejiri, S. Yamago, and E. Nakamura, J. Am. Chem. Soc., 114, 8707-8708 (1992).
78. Carbometalation of Cyclopropenes. Stereoselective Synthesis of Divinyl Ketone Acetals by 1,5-Hydrogen Migration Reaction of Vinylcyclopropanes, E. Nakamura, K. Kubota, and M. Isaka, J. Org. Chem., 57, 5809-5810 (1992).
77. Copper-Catalyzed Reactions of Organotitanium Reagents. Highly Selective SN2′-Allylation and Conjugate Addition, M. Arai, B. H. Lipshutz, and E. Nakamura, Tetrahedron, Symposium in Print, 48, 5709-5718 (1992).
76. Theoretical Studies of Heteroatom-Directed Carbometalation. Addition of MeCu, Me2Cu– and MeLi to Substituted Acetylenes, E. Nakamura, Y. Miyachi, N. Koga, and K. Morokuma, J. Am. Chem. Soc., 114, 6686-6692 (1992).
75. Synthesis and Biological Activities of Cyclopropenone Antibiotic Penitricin and Congeners, H. Tokuyama, M. Isaka, E. Nakamura, R. Ando, and Y. Morinaka, J. Antibiotics, 45, 1148-2254 (1992).
74. Chlorosilane-Mediated 1,2-Addition of Organocuprates to α,β-Unsaturated Aldehydes. A Case of Vinylogous Cram’s Rule, M. Arai, T. Nemoto, Y. Ohashi, and E. Nakamura, Synlett, 309-310 (1992).
73. Thermal Reactions of Substituted Cyclopropenone Acetals. Regio- and Stereochemistry of Vinylcarbene Formation and Low-Temperature [3 + 2] Cycloaddition, H. Tokuyama, M. Isaka, and E. Nakamura, J. Am. Chem. Soc., 114, 5523-5530 (1992).
72. A Protective Strategy in Carbene Complex Chemistry. Synthesis of Functionalized Fischer Carbene Complexes via Dianion Formation, S. Aoki, T. Fujimura, and E. Nakamura, J. Am. Chem. Soc., 114, 2985-2990 (1992).
71. General Synthesis of Cyclopropenones and Their Acetals, M. Isaka, S. Ejiri, and E. Nakamura, Tetrahedron, Symposium in Print, 48, 2045-2057 (1992).
70. Aerobic Conversion of Organic Halides to Alcohols. An Oxygenative Radical Cyclization, E. Nakamura, T. Inubushi, S. Aoki, and D. Machii, J. Am. Chem. Soc., 113, 8980-8982 (1991).
69. Copper-Catalyzed Reactions of Organotitanium Reagents. Highly SN2′-, Anti-, Diastereo-, and Chemoselective Alkylation of Allylic Chlorides and Phosphates, M. Arai, E. Nakamura, and B. H. Lipshutz, J. Org. Chem., 56, 5489-5491 (1991).
68. Structure of ±-(2S,1’S)-2-(Hydroxyphenylmethyl)-2-methylcyclohexanone C14H18O2, E. Nakamura, I. Kuwajima, and P. G. Williard, Acta Cryst., C47, 984-985 (1991).
67. Synthesis of 1,4-Dicarbonyl Compounds and 4-Keto Pimelates by Palladium-Catalyzed Carbonylation of Siloxycyclopropanes, S. Aoki and E. Nakamura, Tetrahedron, 47, 3935-3946 (1991).
66. Reversible Generation of Trimethylenemethanes by Mild Thermolysis of Dialkoxy Methylenecyclopropanes, E. Nakamura, S. Yamago, S. Ejiri, A. E. Dorigo, and K. Morokuma, J. Am. Chem. Soc., 113, 3183-3184 (1991).
65. One-Pot Synthesis of Substituted Cyclopropenone Ketals via Alkylation of 3,3-Dialkoxy-2-sodiocyclopropenes, M. Isaka, R. Ando, Y. Morinaka, and E. Nakamura, Tetrahedron Lett., 32, 1339-1342 (1991).
64. Synthesis of 1,4-Keto Esters, and 1,4-Diketones via Palladium-Catalyzed Acylation of Siloxycyclopropanes. Synthetic and Mechanistic Studies, T. Fujimura, S. Aoki, and E. Nakamura, J. Org. Chem., 56, 2810-2821 (1991).
63. Simple Diastereoselectivity of the Aldol Reaction of Persubstituted Enolates. Stereoselective Construction of Quaternary Centers, S. Yamago, D. Machii, and E. Nakamura, J. Org. Chem., 56, 2098-2106 (1991).
62. Synthesis of 1,4-Dicarbonyl Compounds by Palladium-Catalyzed Cabonylative Arylation of Siloxycycloproanes, S. Aoki and E. Nakamura, Synlett, 741-742 (1990).
61. Thermal Hetero [3 + 2] Cycloaddition Approach to Functionalized Tetrahydrofurans, S. Yamago and E. Nakamura, J. Org. Chem., 55, 5553-5555 (1990).
60. Carbocupration of Cyclopropene. Asymmetric Synthesis of Quaternary Carbon Centers, M. Isaka and E. Nakamura, J. Am. Chem. Soc., 112, 7428-7430 (1990).
59. Palladium- and Platinum-Catalyzed Reaction of Siloxycyclopropanes with Acid Chlorides. A Homoenolate Route to 1,4-Dicarbonyl Compounds, S. Aoki, T. Fujimura, E. Nakamura, and I. Kuwajima Tetrahedron Lett., 30, 6541-6544 (1989).
58. Applications of Metalated Cyclopropenone Ketals in a General Synthesis of Cyclopropenones. An Efficient Synthesis of the Antibiotic Penitricin, M. Isaka, S. Matsuzawa, S. Yamago, S. Ejiri, Y. Miyachi, and E. Nakamura, J. Org. Chem., 54, 4727-4729 (1989).
57. Total Synthesis of (±)-Cortisone. Double Hydroxylation Reaction for Corticoid Synthesis, Y. Horiguchi, E. Nakamura, and I. Kuwajima, J. Am. Chem. Soc., 111, 6257-6265 (1989).
56. Use of Methylenecyclopropanone Ketals for Cyclopentane Synthesis. A New Efficient Thermal [3 + 2] Cycloaddition, S. Yamago and E. Nakamura, J. Am. Chem. Soc., 111, 7285-7286 (1989).
55. Homogeneous Sonochemistry in Radical Chain Reactions. Sonochemical Hydrostannation and Tin Hydride Reduction, E. Nakamura, D. Machii, and T. Inubushi, J. Am. Chem. Soc., 111, 6849-6850 (1989).
54. Double Hydroxylation of Enol Silyl Ethers. A Single-Step Synthesis of αα’-Dihydroxy Ketone, Y. Horiguchi, E. Nakamura, and I. Kuwajima, Tetrahedron Lett., 30, 3323-3326 (1989).
53. Me3SiCl-Assisted 1,2-Addition of Organocuprates to Carbonyl Compounds, S. Matsuzawa, M. Isaka, E. Nakamura, and I. Kuwajima, Tetrahedron Lett., 30, 1975-1978 (1989).
52. Virtually Complete Diastereofacial Selectivity in the SN2′ Allylation of Organocopper Reagents, E. Nakamura, K. Sekiya, M. Arai, and S. Aoki, J. Am. Chem. Soc., 111, 3091-3093 (1989).
51. Synthesis of Propellanes by “Exocyclic” Transannular Cycloaddition of Olefinic Methylenecyclopropanes, S. Yamago and E. Nakamura, Tetrahedron, Symposium in Print, 45, 3081-3088 (1989).
50. Chlorosilane-Accelerated Conjugate Addition of Catalytic and Stoichiometric Organocopper Reagents, S. Matsuzawa, Y. Horiguchi, E. Nakamura, and I. Kuwajima, Tetrahedron, Symposium in Print, 45, 349-362 (1989).
49. Synthesis of [3.3.3] Propellanes by “Exocyclic” Transannular Cyclization of Olefinic Methylenecyclopropane, S. Yamago and E. Nakamura, J. Chem. Soc., Chem. Commun., 1112-1113 (1988).
48. Copper- and Nickel-Catalysis in SN2′ and SN2-Regioselective Allylation of Organozinc Reagents, K. Sekiya and E. Nakamura, Tetrahedron Lett., 40, 5155-5156 (1988).
47. Palladium Catalyzed Arylation of Siloxycyclopropanes with Aryl Triflates. Carbon Chain Elongation via Catalytic Carbon-Carbon Bond Cleavage, S. Aoki, T. Fujimura, E. Nakamura, and I. Kuwajima, J. Am. Chem. Soc., 110, 3296-3298 (1988).
46. Stereochemistry of the Fluoride Catalyzed Aldol Reaction of Enol Silyl Ethers. Evidence for Another Non-Chelate Transition State, E. Nakamura, S. Yamago, D. Machii, and I. Kuwajima, Tetrahedron Lett., 29, 2207-2210 (1988).
45. Synthesis of 4-Keto Pimelates by Palladium-Catalyzed Carbonylative Symmetrical Coupling of Siloxycyclopropanes, S. Aoki, E. Nakamura, and I. Kuwajima, Tetrahedron Lett., 29, 1542-1543 (1988).
44. Carbocupration of Cyclopropene. A Novel Synthon of Cyclopropanone Enolate and its Application to [3+2] and [3+2+2] Annulation, E. Nakamura, M. Isaka, and S. Matsuzawa, J. Am. Chem. Soc., 110, 1297-1298 (1988).
43. Carbon-Carbon Bond Forming Reactions of Zinc Homoenolate of Esters. A Novel Three-Carbon Nucleophile with General Synthetic Utility, E. Nakamura, S. Aoki, K. Sekiya, H. Oshino, and I. Kuwajima, J. Am. Chem. Soc., 109, 8056-8066 (1987).
42. Copper Catalyzed Conjugate Addition of a Zinc Homoenolate: Ethyl 3-[3-(Trimethylsilyloxy)cyclohex-2-enyl)]propionate, E. Nakamura and I. Kuwajima, Org. Synth., 66, 43-51 (1988).
41. Ring Expansion and Cleavage of Succinoin Derivatives: Spiro[4.5]decane-1,4-dione and Ethyl 4-Cyclohexyl-4-oxobutanoate, E. Nakamura and I. Kuwajima, Org. Synth., 65, 17-25 (1987).
40. Chiral Zinc Homoenolate of Methyl Isobutyrate. A New Building Block for the Synthesis of Chiral α-Methylesters, E. Nakamura, K. Sekiya, and I. Kuwajima, Tetrahedron Lett., 28, 337-338 (1987).
39. Total Synthesis of (±)-Cortisone. Double Hydroxylation Reaction for the Construction of Corticoid Side Chain, Y. Horiguchi, E. Nakamura, and I. Kuwajima, J. Org. Chem., 51, 4323-4325 (1986).
38. Me3SiCl Accelerated Conjugate Addition of Stoichiometric Organocopper Reagents E. Nakamura, S. Matsuzawa, Y. Horiguchi, and I. Kuwajima, Tetrahedron Lett., 27, 4029-4032 (1986).
37. Me3SiCl/HMPA Accelerated Conjugate Addition of Catalytic Copper Reagent. Stereoselective Synthesis of Enol Silyl Ether of Aldehyde, Y. Horiguchi, S. Matsuzawa, E. Nakamura, and I. Kuwajima, Tetrahedron Lett., 27, 4025-4028 (1986).
36. Trichlorotitanium and Alkoxytitanium Homoenolates. Preparation, Characterization, and Utilization for Organic Synthesis, E. Nakamura, H. Oshino, and I. Kuwajima, J. Am. Chem. Soc., 108, 3745-3755 (1986).
35. Palladium Catalyzed Reactions of Propionate Homoenolate. Arylation, Vinylation, and Acylation, E. Nakamura and I. Kuwajima, Tetrahedron Lett. 27, 83-86 (1986).
34. Catalytic “Homo-Reformatsky” Reaction. Ambident Chemical Reactivities of the Zinc Homoenolate of Propionate, H. Oshino, E. Nakamura, and I. Kuwajima J. Org. Chem., 50, 2802-2804 (1985).
33. Stereocontrolled Construction of Oxygenated Steroidal Side Chains. Synthesis and Stereochemistry of Depresosterol, E. Nakamura and I. Kuwajima, J. Am. Chem. Soc., 107, 2138-2141 (1985).
32. A Ring Opening Reaction of 1-Siloxy-1-alkoxycyclopropanes. Preparation of Main Group Metal Homoenolates of Alkyl Propionate, E. Nakamura, J. Shimada, and I. Kuwajima, Organometallics, 4, 641-646 (1985).
31. Stereoselective Synthesis of trans-Hydrindanes by Internal Vinylsilane Acylation, K. Fukuzaki, E. Nakamura, and I. Kuwajima, Tetrahedron Lett., 25, 3591-3394 (1984).
30. Copper Catalyzed Acylation and Conjugate Addition of Zinc Homoenolate. Synthesis of 4- and 6-Oxo Esters, E. Nakamura and I. Kuwajima, J. Am. Chem. Soc., 106, 3368-3370 (1984).
29. Ring Expansion and Cleavage of Succinoin Derivatives. Geminal Acylation, Reductive Succinoylation, and Stereoselective Spiroannelation Methods, J. Shimada, K. Hashimoto, B. H. Kim, E. Nakamura, and I. Kuwajima, J. Am. Chem. Soc., 106, 1759-1773 (1984).
28. A Simplified Total Synthesis of Cytochalasins via Macrocyclic Diels-Alder Reaction, G. Stork and E. Nakamura, J. Am. Chem. Soc., 105, 5510-5511 (1983).
27. Remarkable Equatorial Selectivity in the Aldol Coupling between Enol Silyl Ethers and Cyclohexanone Ketals, E. Nakamura, Y. Horiguchi, J. Shimada, and I. Kuwajima, J. Chem. Soc., Chem. Commun., 796-797 (1983).
26. Erythro Selective Aldol Reactions of α-Trichlorostannyl Ketones, E. Nakamura and I. Kuwajima, Tetrahedron Lett., 24, 3347-3351 (1983).
25. Aldol Reaction of Trichlorotitanium Enolates. Revaluation of the Boat Transition State, E. Nakamura and I. Kuwajima, Tetrahedron Lett., 24, 3343-3346 (1983).
24. Formation and Characterization of Trichlorotitanium Enolates, E. Nakamura, J. Shimada, Y. Horiguchi, and I. Kuwajima, Tetrahedron Lett., 24, 3341-3342 (1983).
23. Ring Expansion of Succinoin Derivatives. New Synthetic Routes to Cyclopentenones, E. Nakamura, J. Shimada, and I. Kuwajima, J. Chem. Soc., Chem. Commun., 499-500 (1983).
22. Cyclopentenones by Internal Acylation of Vinylsilanes. Rapid Construction of Trichothecane-Type Carbon Frameworks, E. Nakamura, K. Fukuzaki, and I. Kuwajima, J. Chem. Soc., Chem. Commun., 498-499 (1983).
21. Fluoride Ion Catalyzed Aldol Reaction between Enol Silyl Ethers and Carbonyl Compounds, E. Nakamura, M. Shimizu, I. Kuwajima, J. Sakata, K. Yokoyama, and R. Noyori, J. Org. Chem., 48, 932-945 (1983).
20. Isolation and Reactions of Titanium Homoenolates of Esters, E. Nakamura and I. Kuwajima, J. Am. Chem. Soc., 105, 651-652 (1983).
19. Formation of α-Trichlorostannyl Ketones in the Reaction of Stannic Chloride with Enol Silyl Ethers, E. Nakamura and I. Kuwajima, Chem. Lett., 59-62 (1983).
18. Fluoride Catalyzed Reactions of Silylacetylenes with Carbonyl Compounds, I. Kuwajima, E. Nakamura, and K. Hashimoto, Tetrahedron, 39, 975-982 (1983).
17. Silylation of Ketones with Trimethylsilylacetate: (Z)-3-Trimethylsiloxy-2-pentene, I. Kuwajima, E. Nakamura, and K. Hashimoto, Org. Synth., 61, 122-129 (1983).
16. Fluoride-Mediated Reactions of Enol Silyl Ethers. Regiospecific Monoalkylation of Ketones, I. Kuwajima, E. Nakamura, and M. Shimizu, J. Am. Chem. Soc., 104, 1025-1030 (1982).
15. New Acyl Anion Equivalent. A Short Route to the Enol Lactam Intermediate in Cytochalasin Synthesis, E. Nakamura, Tetrahedron Lett., 22, 663-666 (1981).
14. Silylation of Relatively Acidic Compounds with Alkyl Trimethylsilylacetates, E. Nakamura, K. Hashimoto, and I. Kuwajima, Bull. Chem. Soc. Jpn., 54, 805-808 (1981).
13. Large-Ring Lactones by Internal Ketophosphonate Cyclization, G. Stork and E. Nakamura, J. Org. Chem., 44, 4010-4011 (1979).
12. A Facile Method for the Preparation of 5-Alkoxy-1,4-Diketones, I. Kuwajima, I. Azegami, and E. Nakamura, Chem. Lett., 1431-1432 (1978).
11. Highly Stereoselective Formation of Enol Silyl Ethers, E. Nakamura, K. Hashimoto, and I. Kuwajima, Tetrahedron Lett., 2079-2082 (1978).
10. Homoenolate Anion Precursor. Reaction of Ester Homoenol Silyl Ether with Carbonyl Compounds, E. Nakamura and I. Kuwajima, J. Am. Chem. Soc., 99, 7360-7361 (1977).
9. A Novel Ring-Opening Reaction. An Improved Method for Reductive Succinoylation, E. Nakamura, K. Hashimoto, and I. Kuwajima, J. Org. Chem., 42, 4166-4167 (1977).
8. Fluoride Ion Catalyzed Aldol Reaction between Enol Silyl Ethers and Carbonyl Compounds, R. Noyori, K. Yokoyama, J. Sakata, I. Kuwajima, E. Nakamura, and M. Shimizu, J. Am. Chem. Soc., 99, 1265-1267 (1977).
7. Geminal Acylation via Pinacol Rearrangement. Synthesis of Spiro[4.n] Ring Systems, E. Nakamura and I. Kuwajima, J. Am. Chem. Soc., 99, 961-963 (1977).
6. Generation of the Trans Enolate of Chloroacetaldehyde via β-Oxido Carbenoid, I. Kuwajima and E. Nakamura, J. Org. Chem., 42, 346-347 (1977).
5. Fluoride Catalyzed Addition of Silylacetylenes to Carbonyl Compounds, E. Nakamura, and I. Kuwajima, Angew. Chem. Int. Ed. Engl., 15, 498-498 (1976).
4. Quaternary Ammonium Fluoride-Catalyzed Conjugate Addition of Thiols to C=C Double Bonds, I. Kuwajima, T. Murofushi, and E. Nakamura, Synthesis, 602-603 (1976).
3. Quaternary Ammonium Enolates as Synthetic Intermediates. Generation of Ester Enolates by the Aid of α-Trimethylsilylesters and Quaternary Ammonium Fluoride, and Their Reactions with Carbonyl Compounds, E. Nakamura, M. Shimizu, and I. Kuwajima, Tetrahedron Lett., 1699-1702 (1976).
2. Quaternary Ammonium Enolates as Synthetic Intermediates. Trimethylsilylacetate: A New Class of Silylating Reagent for Ketones and Alcohols, E. Nakamura, T. Murofushi, M. Shimizu, and I. Kuwajima, J. Am. Chem. Soc., 98, 2346-2348 (1976).
1. Quaternary Ammonium Enolates as Synthetic Intermediates. Regiospecific Alkylation Reaction of Ketones, I. Kuwajima and E. Nakamura, J. Am. Chem. Soc., 97, 3257-3257 (1975).
Review/Account
73. 塩化ナトリウムの結晶化のしくみ,榊原雅也,中室貴幸,中村栄一,化学と教育,72-2, 46-49 (2024) (link)
72. Cinematographic study of stochastic chemical events at atomic resolution, Microscopy, K. Harano, T. Nakamuro, E. Nakamura, 73, 101-116 (2024) (link)
71. 分子映像によって開拓する動的分子科学の新しい世界, 原野幸治, 中室貴幸, 中村栄一,顕微鏡, 57, 59-64 (2022) (link)
70. 原子番号相関(ZC)分子模型の提案,原野幸治, 中村栄一,化学, 77, 36-40 (2022).
69. ラダー型π共役分子,辻勇人,中村栄一,高分子,70, 493-495 (2021). (link)
68. The Tateshina Conference: The First 10 Years, E. Nakamura, Chem Asian J., 15, 3577-3579 (2020).
67. 世界最高速の動画撮影でひもとく分子の世界-カメラは見た!分子が動く決定的瞬間-,清水俊樹, 原野幸治,中村栄一,化学, 75(11), 12-16 (2020). (pdf)
66. 剛直平面構造をもつ炭素架橋オリゴフェニレンビニレン(COPV)の合成,物性,応用, 辻勇人, 中村栄一, 有機合成化学協会誌, 78, 782-791 (2020).
65. 単分子原子分解能実時間電子顕微鏡法による化学反応研究, 原野幸治, 中村栄一, 化学と工業, 73, 16-18 (2020). (pdf)
64. Carbon-Bridged Oligo(phenylene vinylene)s: A de Novo Designed, Flat, Rigid, and Stable π-Conjugated System, H. Tsuji, E. Nakamura, Acc. Chem. Res., 52, 2939−2949 (2019).
63. Interfacial Chemistry of Conical Fullerene Amphiphiles in Water, K. Harano, E. Nakamura, Acc. Chem. Res., 52, 2090−2100 (2019).
62. 目に見えない微結晶の構造を解析する! -マイクロ電子回折で三次元分子構造を決定,原野幸治,劉 東欣,中室貴幸,中村栄一,化学, 74, 49-53 (2019). (pdf)
61. Chemical Formation and Multiple Applications of Organic−Inorganic Hybrid Perovskite Materials, K. Liu, Y. Jiang, Y. Jiang, Y. Guo, Y. Liu, E. Nakamura, J. Am. Chem. Soc., 141, 1406−1414 (2019).
60. Chemical Kinetics Study through Observation of Individual Reaction Events with Atomic-Resolution Electron Microscopy, E. Nakamura, K. Harano, Proc. Jpn. Acad., Ser. B, 94, 428−440 (2018). (Selected as Cover)
59. Chemistry: A Bridge between Molecular World and Real World, E. Nakamura, J. Syn. Org. Chem. Jpn., 76, 1232-1246 (2018).
58. 化学反応を顕微鏡で追跡する時代が到来,岡田 賢,山内 薫,原野幸治,中村栄一,現代化学, 566, 27-31 (2018). (pdf)
57. 原子分解能顕微鏡で化学反応機構を調べる!-一体いくつの分子を調べればよいのだろうか-,岡田 賢,山内 薫,原野幸治,中村栄一,化学, 73(4), 12-16 (2018). (pdf)
56. Obituary for Gilbert Stork, E. Nakamura, J. D. Winkler, V. K. Aggarwal, Angew. Chem. Int. Ed., 56, 2 (2017). (pdf)
55. Transmission Electron Microscopy for Chemists (editorial), E. Nakamura, N. A. J. M. Sommerdijk, H. Zheng Acc. Chem. Res., 50, 1795–1796 (2017).
54. Atomic-Resolution Transmission Electron Microscopic Movies for Study of Organic Molecules, Assemblies, and Reactions: The First 10 Years of Development, E. Nakamura, Acc. Chem. Res., 50, 1281–1292 (2017).
53. Iron-Catalyzed C-H Bond Activation, R. Shang, L. Ilies, E. Nakamura, Chem. Rev., 117, 9086–9139 (2017).
51. Synthetic Strategy for Multisubstituted Fused Furan Compounds Using Main-Group Metal Reagents, H. Tsuji, L. Ilies, E. Nakamura, Synlett, 25, 2099–2110 (2014).
50. Eiichi Nakamura, Takuji Hatakeyama, Shingo Ito, Kentaro Ishizuka, Laurean Ilies, and Masaharu Nakamura, Iron-Catalyzed Cross-Coupling Reactions, in Organic Reactions, 83, 1–209 (2014)
49. Movies of Molecular Motions and Reactions: The Single-Molecule, Real-Time Transmission Electron Microscope Imaging Technique, E. Nakamura, Angew. Chem. Int. Ed., 52, 236-252 (2013).
48. Iron-Catalyzed Direct Functionalization of Inert C-H Bonds, L. Ilies, E. Nakamura, ファインケミカル, 41, 40-45 (2012).
47. Mechanisms of Nucleophilic Organocopper(I) Reactions, N. Yoshikai, E. Nakamura, Chem. Rev., 112, 2339-2372 (2012).
46. One Hundred Years since the Discovery of the “Umami” Taste from Seaweed Broth by Kikunae Ikeda, who Transcended his Time, E. Nakamura, Chem. Asian J., 6, 1659-1663 (2011).
45. Managing the Scarcity of Chemical Elements, E. Nakamura, K. Sato, Nat. Mater., 10, 158-161 (2011).
44. In Vitro and in Vivo Gene Delivery with Tailor-designed Aminofullerenes, E. Nakamura, H. Isobe, Chem. Rec., 10, 260-270 (2010).
43. Low-Valent Iron-Catalyzed C−C Bond Formation−Addition, Substitution, and C−H Bond Activation, E. Nakamura, N. Yoshikai, J. Org. Chem., 75, 6061-6067 (2010). (Perspective)
42. 有機フラーレンの合成と機能/ 松尾 豊,中村栄一,ファルマシア,45, 222-226 (2009).
41. 百聞は一見に如かず-有機分子1分子の動きを見る-/ 中村栄一.現代化学,446, 16-22 (2008).
40. Selective Multiaddition of Organocopper Reagents to Fullerenes, Y. Matsuo and E. Nakamura, Chem. Rev., 108, 3016-3028 (2008).
39. 官能基化フラーレンの合成と構造/ 松尾 豊, 中村栄一, 有機合成化学協会誌, 65, 227-282 (2007). (pdf)
38. 環状π電子共役系・シクロフェナセンの合成と構造研究/ 松尾 豊, 中村栄一, 日本結晶学会誌, 48, 227-282 (2006).
37. 水にとけるカーボン-水溶性フラーレン•ナノチューブの科学/磯部寛之, 中村栄一, 科学, 75, 1260-1264 (2005).
36. PETのための超高速有機合成 – 1/ 酸素 – 15標識糖の超高速合成とその応用 時間との究極の戦い/ 依光英樹,村上佳裕,西村伸太郎,中村栄一,化学と生物,Vol43, 731-733 (2005).
35. Bucky Ferrocene and Bucky Ruthenocene. Serendipity and Discoveries, E. Nakamura, J. Organomet. Chem. (The 40th Anniversary Issue, Special Issue), 689, 4630-4635 (2004).
34. Fullerene in Water, Encl. Nanotechnology, Web edition: http://www.dekker.com/servlet/product/productid/e-enn (2004).
33. On the Reaction Mechanism of “Higher-order Cuprate”, alias “Lipshutz Cuprate”, E. Nakamura and N. Yoshikai, Bull. Chem. Soc. Jpn., 77, 1-11 (2004).
32.機能性有機フラーレンを用いた生命科学及び材料科学への展開/ 中村栄一,松尾 豊,磯部寛之,ファルマシア,40, 1007-1011 (2004).
31. Functionalized Fullerenes in Water. The First Ten Years of Their Chemistry, Biology and Nanoscience, E. Nakamura and H. Isobe Acc. Chem. Res., 36, 807-815 (2003).
30. Bucky Ferrocene. Hybrid of Ferrocene and Fullerene, E. Nakamura, Pure Appl. Chem., 75, 427 (2003).
29. 有機フラーレンの形作る超分子構造 -膜と液晶-,中村栄一,松尾 豊, 磯部寛之,澤村正也,未来材料,4, (2003).
28. Cyclopropenone Acetal−Synthesis and Reactions, M. Nakamura, H. Isobe, and E. Nakamura, Chem. Rev. (Strained Ring Chemistry, Special Issue), 203, 1295-1326 (2003).
27. [3 + 2] Cycloaddition of Trimethylenemethane and Its Synthetic Equivalents, S. Yamago and E. Nakamura, Org. React., 61, 1-215 (2002).
26. Thermal Reactions of Dipolar Trimethylenemethane Species, E. Nakamura and S. Yamago, Acc. Chem. Res., 35, 867-877 (2002).
25. Chemistry of η5-fullerene metal complexes, E. Nakamura and M. Sawamura, Pure Appl. Chem., 73, 355-359 (2001).
24. 高精度量子化学計算を用いた有機金属反応機構の解明,森聖治,中村栄一,有機合成化学協会誌,58, 466-467 (2000). Mechanistic Studies on Organometallic Reactions with the Aid of High-precision Quantum Chemical Calculations, S. Mori and E. Nakamura, J. Synth. Org. Chem. Jpn., 58, 466-467 (2000). (pdf)
23. 合成化学者が理論化学に魅せられたとき,中村栄一,有機合成化学協会誌,58, 466-467 (2000). When a Synthetic Chemist was Encharnted by Theory, J. Synth. Org. Chem. Jpn., 58, 466-467 (2000). (pdf)
22. Wherefore art thou Copper? Structures and Reaction Mechanisms of Organocuprate Clusters, E. Nakamura and S. Mori, Angew. Chem. Int. Ed., 39, 3750-3771 (2000).
21. 有機亜鉛試薬の調製法,中村正治,中村栄一,有機合成化学協会誌,56, 632-644 (1998): Preparative Routes to Organozinc Reagents Used for Organic Synthesis, M. Nakamura and E. Nakamura, J. Synth. Org. Chem. Jpn., 56, 632-644 (1998). (pdf)
20. Computational Studies on Diastereo- and Enantioselectivities of Allylmetalation of Cyclopropenone Acetals, M. Nakamura and E. Nakamura, in “Electronic Conference Heterocyclic Chemistry”, Rzepa, H. S.; Snyder, J.; Leach, C. (Eds), Royal Society of Chemistry, 1997; ISBN 0-85404-894-4.
19. Pharmacokinetic and Toxicity Studies on Water-Miscible Fullerenes, E. Nakamura, S. Yamago, H. Tokuyama, K. Kikuchi, S. Kananishi, K. Sueki, H. Nakahara, S. Enomoto, F. Ambe, “New Horizons in Organic Synthesis, V. Nair and S. Jumar, Eds., New Age International, New Delhi, 1997, pp. 207-212.
18. Selectivities in Carbometalation of Olefins. Experimental Results and Theoretical Analysis, E. Nakamura, Pure Appl. Chem., 68, 123-130 (1996).
17. 1-Ethoxy-1-(trimethyl)siloxycyclopropane, E Nakamura, in Encyclopedia of Reagents for Organic Synthesis; Paquette, L. A., Ed.; Wiley, Chicester, 1995, Vol. 4, pp 2375-2378.
16. Cyclopropenone 1,3-Propanediyl Acetal, S. Yamago and E Nakamura, in Encyclopedia of Reagents for Organic Synthesis; Paquette, L. A., Ed.; Wiley, Chicester, 1995, Vol. 2, pp 1459-1462.
15. 3-Bromo-1-trimethylsilyl-1-propene, E Nakamura, in Encyclopedia of Reagents for Organic Synthesis; Paquette, L. A., Ed.; Wiley, Chicester, 1995, Vol. 1, pp 790-791.
14. Synthesis of Organic Derivatives of Fullerenes, S. Yamago, H. Tokuyama, E. Nakamura, M. Prato, and F. Wudl, Trans. Mat. Res. Soc. Jpn., 14B, 1169-1172 (1994).
13. Synthetic Chemistry of Cyclopropenone Acetals. Penitricin and Buckminsterfullerene, E. Nakamura, 有機合成化学協会誌,52, 935-945 (1994): E. Nakamura, J. Synth. Org. Chem. Jpn., 52, 935-945 (1994). (pdf)
12. 有機化学反応の解析予測における非経験的分子軌道法の重要性、中村栄一、中村正治、日本農芸化学会誌,67, 1281 (1993): Importance of ab initio MO Analysis of Organic Reactions, J. Agrochem. Soc. Jpn., 67, 1281 (1993).
11. 有機金属化合物の位置及び立体選択的アリル化反応、中村栄一,有機合成化学協会誌,51, 985 (1993): (Regio- and Stereoselective Allylation Reactions of Organometallics, E. Nakamura, J. Synth. Org. Chem. Jpn., 51, 985 (1993). (pdf)
10. Me3SiCl-Accelerated Conjugate Addition Reactions of Organocopper Reagents, E. Nakamura in “Organocopper Reagents”, R. J. K. Taylor, Ed. Oxford University Press, 1994, Chapter 6.
9. Thermal [3 + 2] Cycloadditions-“A 6π Game”, E. Nakamura, in “Organic Synthesis in Japan. Past, Present and Future”, R. Noyori, Ed., Tokyo Kagaku Dojin, 1992, p 275.
8. 有機銅試薬を用いた合成反応,中村栄一,伊坂雅彦,有機合成化学協会誌,49, 902 (1991): Synthetic Reactions with Organocopper Reagents, E. Nakamura and M. Isaka, J. Synth. Org. Chem. Jpn. 49, 902 (1991). (pdf)
7. Metal Homoenolates, I. Kuwajima and E. Nakamura, in “Comprehensive Organic Synthesis, Vol 2”, B. M. Trost and I. Fleming, Eds., Pergamon Press, 1991, Chapter 1.14.
6. New Tools in Synthetic Organocopper Chemistry, E. Nakamura, Synlett, 539 (1991).
5. 金属ホモエノラートを用いた炭素ー炭素結合生成,中村栄一,有機合成化学協会誌,47, 931 (1989). (C-C Bond Formation with Metal Homoenolates, E. Nakamura, J. Synth. Org. Chem. Jpn., 47, 931-938 (1989). (pdf)
4. Metal Homoenolates from Siloxycyclopropanes. I. Kuwajima and E. Nakamura, Topics Curr. Chem., 155, 1-39 (1990).
3. 有機合成における分子力学計算の応用,中村栄一,深沢義正,有機合成化学協会誌,45, 1044 (1987): E. Nakamura and Y. Fukazawa, J. Synth. Org. Chem. Jpn., 45, 1044 (1987). (pdf)
2. Reactive Enolates from Enol Silyl Ethers. I. Kuwajama and E. Nakamura, Acc. Chem. Res., 18, 181 (1985).
1. サイトカラシン類の全合成,中村栄一,中原義昭,中原悠子,有機合成化学協会誌,42, 876 (1984): Total Synthesis of Cytochalasin, E. Nakamura, Y. Nakahara, and Y. Nakahara, J. Synth. Org. Chem. Jpn., 42, 876 (1984). (pdf)
著書
29. Koji Harano, Eiichi Nakamura, Conformational Analysis of Organic Molecules with Single-Molecule Atomic-Resolution Real-Time Transmission Electron Microscopy (SMART-TEM) Imaging. In Molecular Technology, Volume 4: Synthesis Innovation, Eds: H. Yamamoto, T. Kato, pp 339-368, Wiley-VCH, (2019).
28. Laurean Ilies, Eiichi Nakamura, Iron-Catalyzed C–H Bond Activation, in Topics in Organometallic Chemistry, pp 1–18, Springer Berlin Heidelberg (2015).
27. イリエシュ ラウレアン,中村栄一,鉄化合物を触媒とする有機合成化学,鉄の事典,朝倉書店2014年; 234–241 (2014).
26. Laurean Ilies, Eiichi Nakamura, Iron-Catalyzed Cross-Coupling Reactions, in The Chemistry of Organoiron Compounds, Eds.: I. Marek and Z. Rappoport, pp 539–567, John Wiley&Sons, Ltd.: Chichester, UK (2014).
25. Eiichi Nakamura, Hiroyuki Isobe, Organofullerenes in water, in Dekker Encyclopedia of Nanoscience and Nanotechnology (3rd Edition), Ed.: S. E. Lyshevski, vol. 5, pp 3492-3501, CRC Press, Boca Raton, Fla (2014).
24. 原野幸治,中村栄一,π電子研究の歴史と将来展望(分担執筆),未来材料を創出するπ電子系の化学(CSJカレントレビュー12),化学同人,20-24 (2013).
23. Eiichi Nakamura, Carbon Nanotube for Imaging of Single Molecules in Motion, in Chemistry of Nanocarbons, Eds: T. Akasaka, F. Wudl , S. Nagase, pp 405-412, John Wiley&Sons, Ltd.: Chichester, UK (2012).
22. Yutaka Matsuo, Eiichi Nakamura, Application of fullerenes to nanodevices, in Chemistry of Nanocarbons, Eds: T. Akasaka, F. Wudl , S. Nagase, pp 173-187, John Wiley&Sons, Ltd.: Chichester, UK (2012).
21. Eiichi Nakamura, Naohiko Yoshikai, Theory of organocopper-mediated reactions, in The Chemistry of Organocopper Compounds, Eds: Z. Rappoport, I. Marek, pp 1-21, John Wiley&Sons, Ltd.: Chichester, UK (2009).
20. 磯部寛之,中村栄一,化学修飾フラーレンの生体関連機能,ナノカーボンハンドブック,NTS(2007).
19. 学問の扉(東京大学130周年出版),一分子のふるまいを見た,講談社(2007)
18. Y. Matsuo and E. Nakamura, Functional Organic Materials: Syntheses, Strategies and Applications, T. J. J. Mueller and U. H. F. Bunz, Eds. Wiley-VCH, 2007.
17. 中村栄一,化学者たちの感動の瞬間,化学同人(2006)
16. Y. Matsuo and E. Nakamura, Cyclophenacene Cut Out of Fullerene in “Functional Organic Materials: Syntheses, Strategies and Applications”, Wiley-VCH , Weinheim, pp 59-80, 2006.
15. 松尾 豊, 中村栄一, エレクトロニクス用カーボン技術大全集, フラーレンの表面修飾, 技術情報協会(2006).
14. 磯部寛之, 中村栄一, ウイルスを用いない遺伝子導入法の材料, 技術, 方法論の新たな展開 1章10節 フラーレンC60の生体関連機能 メディカルドゥ(2006).
13. 磯部寛之,中村栄一,超分子科学−ナノ 材料創製に向けて 37章 水溶性フラーレンの合成とバイオ機能 化学同人(2004).
12. 磯部寛之,中村栄一,水溶性高分子の新展開 10章 水溶性フラーレンの可能性 シーエムシー出版(2004).
11. 中村栄一,中村正治,実験化学講座(第5版)21巻 有機金属化合物・超分子錯体 10章1節 有機銅錯体 丸善(2004).
10. 森 聖治,中村栄一,実験化学講座(第5版)12巻 計算化学 2章3節の1 丸善(2004).
9. 中村栄一,松尾 豊,有機金属反応剤ハンドブック(玉尾晧平編)リチウム
8. E. Nakamura, Organocopper Chemistry, N. Krause Ed, Wiley-VCH, Weinheim, 2002.
7. E. Nakamura, Organometallic Chemistry, Method, 2nd edition, Manfred Schlosser Ed. Wiley, Chichester, 2002.
6. 中村栄一,現代の匠が作る未来物質,第15回「大学と科学」公開シンポジウム組織委員会編,クバプロ(分担)(2001).
5. 中村栄一,有機量子化学,朝倉書店藤本博編著(共著)(2001).
4. 奈良坂紘一,中村栄一,山本学監訳「ジョーンズ有機化学 I, II」東京化学同人,(2000).
3. 季刊化学総説「有機合成化学の新潮流」,日本化学会編,学会出版センター,Vol. 49, II-3章「有機亜鉛反応剤の活用」,中村栄一,中村正治,pp 90-100 (2000).
2. 季刊化学総説「炭素第三の同素体 フラーレンの化学」,日本化学会編,学会出版センター,Vol. 43, 13章「化学修飾と機能分子設計」,中村栄一,澤村正也,磯部寛之,pp 165-171 (1999).
1. 中村栄一,「有機化学ハンドブック」朝倉書店(分担)(1994).