哪种药用或食用胶囊材料能tolerate1:1的水和乙醇混合溶液?
我想找一种药用或食用的胶囊材料,需要能够tolerate 1:1的水和乙醇混合溶液,但在胃酸里能够崩解释放内包成分,与一般像鱼油那样的胶囊材料正好相反。其内包的药物是在上述的水和乙醇的混合溶液中存在的。可能某种碱性可塑性聚合物就可以,但不知道具体该是哪种。请高手指点。

关注问题 举报
0
X-MOL中有些文章搜不到?
X-MOL中有些文章搜不到

关注问题 举报
0
黄金漂浮在卡布奇诺的奶沫上?真正的玫瑰金长什么样?
一块黄金可以漂浮在一杯卡布奇诺之上?下面这张照片是PS的效果吗? 还有,玫瑰金是一种什么颜色?“黄”金、“黄”金,能呈现玫瑰色?

取消关注 举报
0
信息准确与否?
你好,这个链接里面的信息都是准确的吗,比如导师的邮箱?

关注问题 举报
0
博士的就业危机到底存不存在?
据美国国家科学基金会(NSF)上个月的报道,2014年美国获得博士学位的人数达到54070人,创历史之最,其中有75%属于科学或者工程相关领域。 如此多的博士就业前景如何?媒体们纷纷给出了类似“博士就业最困难的一年”这样的标题,他们引用的数据来源称只有61%的博士拿到了“确定的录用通知”。 就业形势真的如此严峻吗?

取消关注 举报
0
xmol使用问题?
请问xmol客户端收藏的资讯电脑上在哪看?

关注问题 举报
0
最近在做香豆素酸,但是不纯,香豆素酸在乙酸乙酯和二氯甲烷中的溶解度都不太好,请问应该如何重结晶?
是香豆素酯水解成香豆素酸,反应生成的香豆素酸不纯,反应溶剂是乙醇,在乙酸乙酯和二氯甲烷中的溶解度都不好,应该如何重结晶

关注问题 举报
0
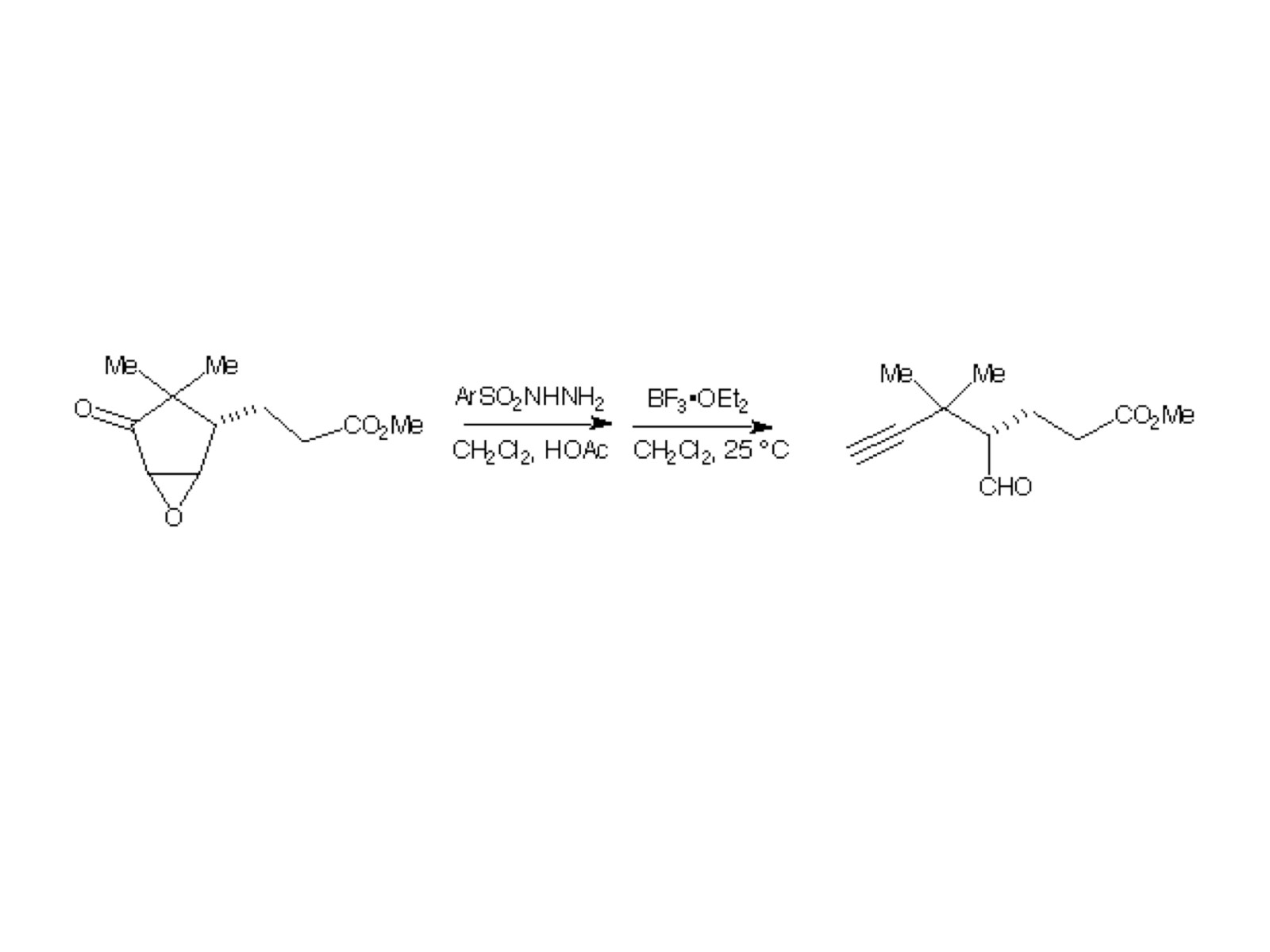
请问这个有机合成的路径是什么?
从化合物A出发,合成出化合物B,并且具有高度立体选择性的反应路径是什么?

取消关注 举报
0
X-mol有记录期刊上次阅读到哪里的功能吗?
每次在手机上阅读期刊文献,等下次再阅读的时候又要重头翻起,很不方便,X-mol有记录期刊上次阅读到哪里的功能吗?

关注问题 举报
0
请问如图这个反应的机理是什么?

取消关注 举报
0
请问x-mol有PRL吗?
请问x-mol有PRL吗?

关注问题 举报
0
ChemBioChem/Eur. J. Med. Chem./J. Nat. Prod.的审稿时间是多少?
在文章投稿的过程中,了解期刊的审稿时间很重要。今天我们对期刊ChemBioChem、European Journal of Medicinal Chemistry和Journal of natural products进行分析,从数十位网友的经验中统计了关于审稿时间的数据,希望对大家有所帮助,也欢迎大家跟帖分享。

取消关注 举报
0
pad用xmol查文献无法跳转?
pad网页版的文献直达点了之后,等很久都不能直达文献

关注问题 举报
0
如何确定含N化合物成盐后盐离子对的种类和数目?
一个化合物含有两个可以成盐的氮原子,通过制备液相进行了分离。制备液相的流动相体系添加了三氟乙酸。经过分离后,如何确证这个化合物是含有一个或者两个三氟乙酸盐?如何确证分离后冻干的粉末里是均匀的含有一个或者两个三氟乙酸盐的物质?会不会含有不同数目盐的化合物?用什么手段、几种手段表征这个化合物才可最终确定?多谢!

取消关注 举报
0
想在x mol找有关电荷调节剂以及合成的相关英文文献,请问怎么检索?
输入“charge control agents”,可找到的相关度都不高

关注问题 举报
0
继续加载