
前言 这项突破性研究由曲阜师范大学高压物理与材料科学实验室的刘晓兵团队主导完成。GeS作为黑磷的等电子体,其层状结构为压力调控提供了理想平台。团队在200GPa极端压力下发现的超导增强现象,挑战了传统电声耦合理论的预测。减压过程中Tc的反常升高暗示可能存在未被发现的量子临界行为,这为理解层状材料的超导机制提供了新线索。
文章DOI:10.1103/yh3n-2hyc.
1、研究概要
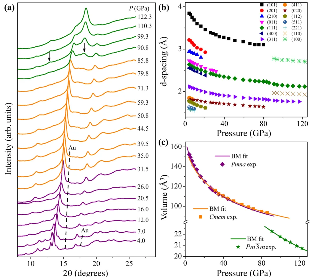
研究团队采用化学气相传输法(CVT)合成了高质量的GeS单晶,并通过金刚石对顶砧(DAC)技术结合同步辐射X射线衍射(XRD)和电阻测量,系统研究了GeS在高达200GPa极端压力下的结构与电输运性质。
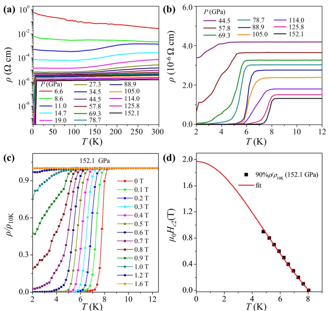
实验发现,GeS在约44.5GPa时发生金属-超导转变,且超导行为在整个研究压力范围内保持稳健,最高Tc达到9K。此外,在减压过程中,Tc异常升高至11K,揭示了高压下GeS超导性的独特性质。
2、研究亮点
1.极端高压下的相变与超导:首次在层状二元硫族化合物GeS中观察到高压诱导的金属-超导转变,并揭示了其相变序列(Pnma→Cmcm→Pm-3m),为理解二维材料在高压下的行为提供了新视角。
2.稳健的超导行为:GeS的超导性在高达200GPa的压力范围内保持稳健,最高Tc达到9K,且在减压过程中Tc异常升高,展示了其超导性质的独特性和潜力。
3.理论计算与实验验证结合:通过密度泛函理论(DFT)计算与高压实验相结合,深入揭示了GeS超导性的电子机制,特别是电子-声子耦合在超导中的作用。
3、图文解析

图1.材料表征。

图2.高压超导证据。

图3.理论预测结构。

图4.原位XRD演变。

图5.电子结构计算。

图6.超导相图。
4、编者话
本次研究不仅揭示了GeS在极端高压下的稳健超导性,更通过系统的实验与理论计算,深化了我们对二维材料超导机制的理解。随着高压实验技术的不断进步,我们有理由相信,更多二维材料在高压下的超导特性将被揭示,为未来量子计算、能源存储等领域的发展提供新的材料平台。